Головна
Cоціологія || Гуманітарні науки || Мистецтво та мистецтвознавство || Історія || Медицина || Науки про Землю || Політологія || Право || Психологія || Навчальний процес || Філософія || Езотерика || Екологія || Економіка || Мови та мовознавство
ГоловнаМедицина → біохімія людини
««   ЗМІСТ   »»

ВІТАМІН Q (ЖИРОРОЗЧИННИЙ)

Вітамін Q (жиророзчинний) - убіхінон (від лат. «Ubiqe» - скрізь). Вітамін Q дуже близький за будовою до вітамінів Е і К. Вперше виділений з жиру тварин.

Убіхінон - кофермент, входить в дихальний ланцюг мітохондрій.

Вітаміни групи Q поширені повсюдно. Вони знайдені в мікроорганізмах, рослинах, тканинах людини і тварин, в харчових продуктах. Тому надзвичайно важко встановити їх незамінність в їжі і довести, що вони синтезуються самим тваринам організмом.

Джерелом вітаміну Q є рослинні і тваринні тканини, в яких протікають інтенсивні окислювально-відновні процеси. Наприклад, високою концентрацією убихинона відрізняються серцевий м'яз, печінку і бура жирова тканина тварин, що впадають в зимову сплячку.

ВІТАМІНИ ГРУПИ F (ЖИРОРОЗЧИННІ)

Вітаміни F - група ненасичених жирних кислот. У цю групу входять лінолева, ліноленова, арахідоно- вая і, можливо, деякі інші ненасичені вищі кислоти. Біологічно найбільш активні арахідонової і лінолева кислоти; ліноленова кислота підсилює дію лінолевої кислоти.

Належність вищих ненасичених жирних кислот до вітамінів визнається не всіма, так як у людини відсутні явні ознаки авітамінозів. Однак при виключенні лінолевої, ліноленової і арахідонової кислот з корми тварин з'являються симптоми авітамінозу: сухість та лущення шкіри, випадання шерсті, омертвіння кінчика хвоста, затримка росту і втрата маси тіла.

Вітамін F бере участь в регуляції обміну ліпідів. Особливо важливо, що ненасичені вищі жирні кислоти сприяють виведенню з організму тварин і людини холестерину, що перешкоджає розвитку атеросклерозу. Відзначено також позитивний вплив вітаміну на стан шкірного і волосяного покривів.

Механізм дії вітаміну F невідомий. У спеціальному дослідженні із застосуванням ряду синтетичних ненасичених кислот виявлено, що біологічна активність ненасичених жирних кислот пов'язана з наявністю подвійних зв'язків між 6-7-м і 9-10-м вуглецевими атомами.

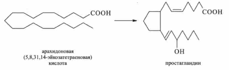
Арахідонова кислота є попередником в біосинтезі гормонів - простагландинів:

З арахідонової та інших полієнових кислот синтезується близько 20 різних простагландинів, що надають потужний вплив на обмін речовин і фізіологічні функції у людини і тварин. Простагландини впливають на діяльність гладких м'язів судин, матки та інших органів і тканин. У зв'язку з цим їх використовують для лікування гіпертонічної хвороби, полегшення пологів, переривання вагітності.

  1. Внутрішня рецепція (вісцерорецепція) - анатомія центральної нервової системи
    Вісцерорецептори - це частина интерорецепторов, які знаходяться у внутрішніх органах і кровоносних судинах. Завдяки вісцерорецеп- Торам організм отримує безліч інформації, необхідної для підтримки гомеостазу, т. Е. Сталості внутрішнього середовища. Так, в результаті діяльності Вісцерорецептори
  2. Внутрішньопротокові папілярно-муцинозні пухлини підшлункової залози - факультетська хірургія
    Внутрішньопротокова папиллярная муцинозная пухлина (ВПМО) - це рідкісна екзокринна пухлина ПЖ, яка виходить із головного панкреатичного протоку або однієї з його гілок і характеризується секрецією великої кількості позаклітинної слизу, сосочковим типом росту, скупченням слизу в панкреатичних
  3. Внутрішньоклітинний потік енергії - біологія. Частина 1
    потік енергії у представників різних груп організмів забезпечується механізмами енергопостачання - бродінням, фото- або хемосинтезу, диханням. Центральна роль в біоенергетиці клітин тварин належить дихальному обміну. Він включає реакції розщеплення Мал. 2.7. Потік біологічної інформації в
  4. В-лімфоцити. Принципи гуморального імунітету - біохімія частина 2.
    В-клітини утворюються і розвиваються в кістковому мозку. Цей процес не залежить від антигену, однак диференціювання лімфоцитів у вторинних лімфоїдних органах тісно пов'язана з наявністю антигену, під впливом якого В-клітини синтезують антитіла, що блокують даний антиген. З стовбурових клітин
  5. Властивості життя - біологія. Частина 1
    Вражаюча різноманіття життя створює великі труднощі для її однозначної і вичерпного визначення як особливого явища природи. У багатьох визначеннях життя, що пропонувалися видатними мислителями і вченими, вказуються провідні властивості, якісно відрізняють (на думку того чи іншого автора) живе
  6. Визначення третинної і четвертинної структур білків - біохімія
    Третинна і четвертинна структури білків визначаються за допомогою рентгеноструктурного аналізу, який вперше був прознавств стосовно міоглобіну і гемоглобіну Дж. Кендра і М. Перутца в Кембриджі. Значення рентгеноструктурного аналізу білків важко переоцінити, оскільки саме цей метод дав можливість
  7. Витрата енергії при м'язовій діяльності - вікова анатомія і фізіологія. Т.2 опорно-рухова і вісцеральні системи
    Загальні енергетичні витрати організму (загальний обмін) складаються з основного обміну і додаткових витрат, так званих робочих збільшень. робоча прибавка - це витрата енергії на рухи і трудову діяльність на виробництві та в домашніх умовах, а також на терморегуляцію і специфічна динамічна
  8. Вітамін р. (водорозчинний) - біохімія людини
    Вітамін Р (водорозчинний) - рутин. Вітамін Р, який останнім часом умовно позначають як рутин, представляє сімейство сполук, близьких за хімічною структурою. Як ядро всіх цих речовин виступає скелет флавона: Відомо понад десятка похідних флавона, що володіють Р-вітамінною дією. Їх називають
© 2014-2022  ibib.ltd.ua