Головна
Cоціологія || Гуманітарні науки || Мистецтво та мистецтвознавство || Історія || Медицина || Науки про Землю || Політологія || Право || Психологія || Навчальний процес || Філософія || Езотерика || Екологія || Економіка || Мови та мовознавство
ГоловнаМедицина → біохімія людини
««   ЗМІСТ   »»

ВІТАМІН Р (ВОДОРОЗЧИННИЙ)

Вітамін Р (водорозчинний) - рутин. Вітамін Р, який останнім часом умовно позначають як рутин, представляє сімейство сполук, близьких за хімічною структурою. Як ядро всіх цих речовин виступає скелет флавона:

Відомо понад десятка похідних флавона, що володіють Р-вітамінною дією. Їх називають биофлавоноидами. Ці сполуки - поліфеноли - відрізняються числом гідроксильних груп у бензольних кілець, що входять до складу Флавонові ядра, а також різними вуглеводними заступниками в піранового циклі.

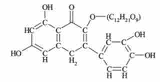
11рімером може служити структурна формула рутина, що містить в якості углеводнго заступника залишок дисахарида С12Н21О9- рутінози:

У молекулі рутина є чотири гідроксильні групи в ароматичних кільцях.

Хімічно чисті препарати вітамінів P-групи представляють собою кристалічні речовини жовтого або оранжевого забарвлення, важкорозчинні у воді.

При відсутності вітаміну Р в їжі у тварин і людини підвищується проникність капілярів, що супроводжується раптовими крововиливами після здавлювання тканини, болем в кінцівках, загальною слабкістю і швидкою стомлюваністю.

Припускають, що вітаміни групи Р беруть участь в окисно-відновних реакціях, забезпечуючи таким чином нормальний хід процесів біологічного окислення в організмі.

Дія вітамінів Р і С взаємопов'язане. При спільній дії вони мають набагато більш високий терапевтичний ефект, ніж окремо. Ці вітаміни функціонують в окисно-відновних процесах разом, утворюють окислювально-відновну пару. Встановлено, що аскор- біген представляє комплекс вітаміну С з флавоноїдами-поліфенолами.

Джерелом вітаміну Р для людини є ті ж продукти, в яких багато вітаміну С. До них відносяться, наприклад, чорна смородина і лимони. Крім того, вітамін Р міститься в значних кількостях в брусниці, чорниці, журавлині, зливі, вишні, виноград та інших фруктах, а також в гречці і перці.

  1. Воднева зв'язок. Міжмолекулярний і внутрішньомолекулярний водневий зв'язок - біохімія людини
    Хімічні зв'язку в молекулах зазвичай дуже міцні, їх енергія знаходиться в межах 100-150 кДж / моль. Крім цього існують так звані водневі зв'язку, міцність яких складає 10-40 кДж / моль. Довжина цих зв'язків відповідно 270-230 пм. Водневої зв'язком між атомами Ед і Ев називають взаємодію, здійснюване
  2. Внутрішня рецепція (вісцерорецепція) - анатомія центральної нервової системи
    Вісцерорецептори - це частина интерорецепторов, які знаходяться у внутрішніх органах і кровоносних судинах. Завдяки вісцерорецеп- Торам організм отримує безліч інформації, необхідної для підтримки гомеостазу, т. Е. Сталості внутрішнього середовища. Так, в результаті діяльності Вісцерорецептори
  3. Внутрішньоклітинний розподіл ферментів, класифікація і номенклатура ферментів - біохімія
    Ферменти локалізовані у всіх компартментах клітин. Ядерні ферменти каталізують синтез інформаційних макромолекул, а також процеси їх дозрівання, функціонування і розпаду. В мітохондріях діють ферменти енергетичного обміну, в апараті Гольджі - ферменти, що каталізують дозрівання білків, в лізосомах
  4. Внутрішньоклітинний обмін амінокислот, внутрішньоклітинний протеоліз - біохімія частина 2.
    Амінокислоти в організмі насамперед використовуються для синтезу білків і пептидів. Крім цього, ряд амінокислот служать попередниками для утворення сполук непептідние природи: пуринових і піримідинових основ, біогенних амінів, порфіринів (в тому числі гема), нікотинової кислоти, креатину,
  5. Властивості нервових центрів - ендокринна і центральна нервова системи, вища нервова діяльність, аналізатори, етологія
    Нервовим центром називається сукупність нейронів, необхідних для здійснення певного рефлексу. З фізіологічної точки зору нервовий центр - це складне поєднання нейронів, узгоджено і координовано беруть участь в регуляції функцій і рефлекторної реакції. Нервові центри мають ряд характерних
  6. Власне сполучна тканина - вікова анатомія і фізіологія
    Тканини цієї групи розрізняються за кількістю клітин і обсягом і видами міжклітинних структур, а також за видами і розташуванню волокон. Виділяють волокнисті сполучні тканини і сполучні тканини зі спеціальними властивостями. Волокнисті сполучні тканини поділяються на пухку і щільну, а остання
  7. Виведення гормонів з крові - фізіологія людини і тварин
    Зміст гормонів в крові регулюється двома протилежними процесами: швидкістю секреції гормону в кров і швидкістю очищення крові від гормону, яку називають швидкістю метаболічного очищення або швидкістю метаболічного кліренсу. Швидкість метаболічного кліренсу визначається по відношенню швидкості
  8. Вітамін с (водорозчинний) - біохімія людини
    Вітамін С (водорозчинний) - аскорбінова кислота. Аскорбінову кислоту можна розглядати як похідне вуглеводу L-гулози, тому її називають також лактоном 2,3-дегідро-Ь-гулоновой кислоти (див. Формулу на с. 310). Аскорбінова кислота не має, як видно з формули, вільної карбоксильної групи. Її кислотні
© 2014-2022  ibib.ltd.ua