Головна
Cоціологія || Гуманітарні науки || Мистецтво та мистецтвознавство || Історія || Медицина || Науки про Землю || Політологія || Право || Психологія || Навчальний процес || Філософія || Езотерика || Екологія || Економіка || Мови та мовознавство
ГоловнаМедицина → біохімія людини
««   ЗМІСТ   »»

ВІТАМІНИ ГРУПИ К (ЖИРОРОЗЧИННІ)

Вітамін Ki - филлохинон (похідне 2-метил-1,4-Нафтохім нона)

регулює згортання крові (антигеморрагичний фактор).

вітамін До2 - також похідне нафтохинона. Відрізняється від До | будовою бічного ланцюга, що містить від 30 до 45 вуглецевих атомів і несучої відповідно від 6 до 9 подвійних зв'язків. Він специфічний для бактерій і також отримано синтетично.

Вітамін К | вперше був ізольований з люцерни. вітамін До2 (МК-6) вперше був виділений з гниючої рибного борошна, де він синтезується мікроорганізмами.

Вітамін К | являє собою світло-жовту рідину з температурою кипіння 115-145 ° С, нестійку при нагріванні в лужному середовищі і при опроміненні. вітамін До2 - кристали жовтого кольору з температурою плавлення 54 ° С, він ще більш нестійкий, ніж вітамін Kj.

Обидві речовини нерозчинні у воді, але добре розчинні в органічних розчинниках: бензолі, хлороформі, ацетоні, гексане.

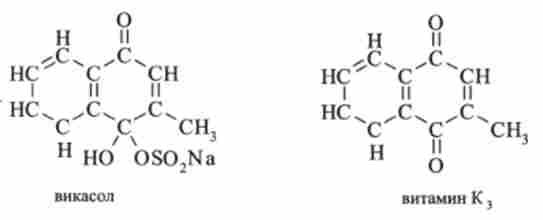
Крім вітамінів К | і К2 багато похідні нафтохінону володіють аналогічним фізіологічним дією. До них відносяться викасол і вітамін К *:

Вікасол - безбарвний, мелкокристалличний порошок. Вітамін Кз - кристалічний порошок жовтого кольору з температурою плавлення 106 ° С, не розчиняється у воді, але розчинний в спирті і ефірі.

Вітамін К сприяє синтезу компонентів, що беруть участь в згортанні крові, і позитивно впливає на стан ендотеліальної оболонки кровоносних судин.

При нестачі вітаміну К в їжі можуть виникати мимовільні кровотечі (носові кровотечі, кривава блювота, внутрішні крововиливи). Вітамін К бере участь у синтезі протромбіну та ряді інших білкових факторів. необхідних для згортання крові. Протромбін переходить в тромбін, а останній викликає перетворення фібриногену в фібрин, т. Е. Безпосередньо забезпечує коагуляцію крові.

Джерелами вітаміну К для людини є томати, капуста, гарбуз, зелені частини каштана, кропиви, люцерни, шпинату, печінка тварин. Крім того, вітамін К синтезується мікробами, нормально живуть в кишечнику. Кишкова мікрофлора - постійний постачальник вітаміну К для людини і тварин.

Добова потреба вітаміну К не встановлена, оскільки він синтезується мікрофлорою кишечника.

  1. Властивості нервових центрів - ендокринна і центральна нервова системи, вища нервова діяльність, аналізатори, етологія
    Нервовим центром називається сукупність нейронів, необхідних для здійснення певного рефлексу. З фізіологічної точки зору нервовий центр - це складне поєднання нейронів, узгоджено і координовано беруть участь в регуляції функцій і рефлекторної реакції. Нервові центри мають ряд характерних
  2. Властивості життя - біологія. Частина 1
    Вражаюча різноманіття життя створює великі труднощі для її однозначної і вичерпного визначення як особливого явища природи. У багатьох визначеннях життя, що пропонувалися видатними мислителями і вченими, вказуються провідні властивості, якісно відрізняють (на думку того чи іншого автора) живе
  3. Властивості білків. Виділення і очищення. Застосування білків, фізико-хімічні властивості білків - біохімія
    Подібно амінокислотам, білки поєднують в собі як кислотні, так і основні властивості. Будучи амфотерними поліелектролітами, білки проте істотно відрізняються від вільних амінокислот, кислотно-основні властивості яких обумовлені а-аміно- і а-карбоксильними групами. У білках основний внесок
  4. Визначення нуклеотидних послідовностей (секвенування) - генетика
    Встановлення первинної структури - нуклеотидноїпослідовності клонованого сегмента ДНК - необхідно для з'ясування його структури, функції і походження. Є дві категорії методів секвенування ДНК. В основі методів першої категорії лежать хімічні реакції, в яких використовують безпосередньо фрагменти
  5. Витрата енергії при м'язовій діяльності - вікова анатомія і фізіологія. Т.2 опорно-рухова і вісцеральні системи
    Загальні енергетичні витрати організму (загальний обмін) складаються з основного обміну і додаткових витрат, так званих робочих збільшень. робоча прибавка - це витрата енергії на рухи і трудову діяльність на виробництві та в домашніх умовах, а також на терморегуляцію і специфічна динамічна
  6. Вітамін с (водорозчинний) - біохімія людини
    Вітамін С (водорозчинний) - аскорбінова кислота. Аскорбінову кислоту можна розглядати як похідне вуглеводу L-гулози, тому її називають також лактоном 2,3-дегідро-Ь-гулоновой кислоти (див. Формулу на с. 310). Аскорбінова кислота не має, як видно з формули, вільної карбоксильної групи. Її кислотні
  7. Вітамін Н (біотин), загальна характеристика - біохімія
    Ще на початку XX ст. було знайдено речовину, що стимулює ріст дріжджів. Воно було названо біотином. У 1936 р Р. Кегль виділив з яєчного білка і отримав біотин в кристалічному стані. У 1939-1940 рр. вийшла серія робіт П. Гіоргі, присвячена харчового фактору, необхідного для захисту від токсичної
  8. Вітаміни групи Р (біофлавоноїди), загальна характеристика, метаболізм, авітаміноз, практичне застосування - біохімія
    Вітамін Р є групою біофлавоноїдів, що нормалізують проникність судин, т. Е. Що володіють схожим з вітаміном С біологічною дією. Один з них був вперше виділений А. Сент-Дьордь в 1936 р з шкірки лимона і отримав назву рутин. Інші біофлавоноїди, а їх більше 100, як і рутин, є похідними флавона
© 2014-2022  ibib.ltd.ua