| Головна |
| «« | ЗМІСТ | »» |
|---|
Вітамін В, - тіамін - був виділений з дріжджів, і встановлено його будова у вигляді солі тіамінхлоріда:

Вітамін В | поряд з аминогруппой містить в молекулі атом сірки S. Звідси назва - тіамін (від грец. «teion» - сірка).
У формі тіамінхлоріда вітамін В існує в кислому середовищі. Для нейтральної та лужного середовища характерна інша структура - з розімкненим тіазоло- вим кільцем; при цьому в молекулі тіаміну з'являються вільні альдегидная і сульфгідрильна групи.
Тіамін є дрібні безбарвні кристали, гіркі на смак, добре розчинні у воді. Розчини його в кислому середовищі стійкі і витримують нагрівання до високих температур. У нейтральній і особливо в лужному середовищі тіамін швидко руйнується. При окисленні він переходить в тіохром - з'єднання, що характеризується яскраво-синьою флуоресценцією в ультрафіолетовому світлі, завдяки чому його легко визначити кількісно.
При В | -авітамінозе розвивається захворювання, що отримало назву поліневриту (хвороба бері-бері). Воно полягає в прогресуючої дегенерації нервових закінчень і провідних пучків, наслідком чого є втрата чутливості шкіри, порушення нормальної моторики шлунково-кишкового тракту, серцеві болі. В кінці настає параліч і смерть.
Захворюванню бері-бері крім людини схильні також птиці, кролики, собаки, щури, морські свинки і багато інших тварин.
Механізм дії вітаміну В | полягає в перенесенні тіамінпірофосфо- кінази пірофосфату з АТФ на тіамін, який перетворюється в тіамінпіро- фосфат, що є коферментом декарбоксилаз кетокислот в окислювальних метаболічних шляхах (рис. 12.3).
Мал. 12.3. Механізм взаємодії пірувату з тіамінпірофосфат
Оксіетілтіамінпірофосфат, в свою чергу, розпадається з вивільненням тіамінпірофосфат і продукту деструкції піровиноградної кислоти або у вигляді ацетальдегіду, який далі перетворюється в етиловий спирт, або у вигляді аце- тил-КоА. При цьому усувається пировиноградная кислота, що виникає у великих кількостях при розпаді вуглеводів і амінокислот. Піровиноградна кислота є сильною отрутою для нервової системи. Її дія призводить до тяжких наслідків, які мають місце при В | -авітамінозе.
Тіамін пірофосфат каталізує також реакції перенесення двухуглеродний фрагментів, будучи коферментом відповідних ферментів. Порушення цих процесів при нестачі вітаміну Bt позначається на стані організму і теж проявляється як Вv-авітаміноз.
Джерелом вітаміну Bj для людини служать головним чином хліб і крупи в тих випадках, коли зерно при обробці не втрачає зародків і оболонок, які в основному і містять тіамін (житнє борошно, неполірований рис). Великий зміст вітаміну В] в пекарських і пивних дріжджах.
Вітамін В2 - рибофлавін. Розчини цього вітаміну яскраво-жовтого кольору, характеризуються жовто-зеленої флуоресценції. У поліциклічної молекулі рибофлавіну
поєднуються бензоловий, піразинову і піримідинових цикли. У піразинову циклі приєднаний залишок п'ятиатомний спирту - рібіт.
Назва «рибофлавін» відображає наявність в молекулі залишку рібіта і жовтий колір (від лат. «Flavor» - жовтий) окисленої форми.
Рибофлавін хімічно нестійкий, легко руйнується при кип'ятінні і на світлі. Під дією світла він розпадається на спирт рібіт і 6,7-діметілізоал- локсазін (люмихром).
В основі біологічної дії цього вітаміну лежить здатність легко окислюватися і відновлюватися. Найбільшою здатністю приєднувати атоми Н мають атоми N, що знаходяться в молекулі ізоаллоксазіна.
В2-авітаміноз у людини викликає ряд порушень: зупинку зростання, випадання волосся, ураження слизових оболонок (особливо в куточках рота), швидку стомлюваність зору, зниження працездатності, порушення нормального синтезу гемоглобіну. Патологічні зміни виникають і в нервовій системі.
Джерелом вітаміну В2 для людини є молоко і зелені овочі; багато вітаміну В2 в печінці та нирках тварин, в пивних і пекарських дріжджах. Потреба в ньому людини становить 2 мг / сут.
вітамін В3 - пантотенова кислота, а, у-диокси-Р, Р-діметілбутіріл-Р- аланин:

Пантотенова кислота міститься в багатьох тварин, рослинних і мікробних об'єктах (від грец. «Pantoten» - звідусіль). Це в'язка світло-жовта масляниста рідина, змішується з водою і оцтовою кислотою. Біологічну активність має тільки правообертальні оптичний ізомер. Пантотенова кислота легко окислюється і гідролізується в присутності кислот і лугів по пептидного (СО-Т ^ Н -) - зв'язку.
При нестачі пантотенової кислоти в організмі людини і тварин розвиваються різноманітні патологічні явища: поразка шкірних покривів і слизових оболонок внутрішніх органів, дегенеративні зміни ряду органів і тканин (особливо страждають залози внутрішньої секреції), втрата і депігментація волосся.
Мал. /2.4. Структура молекули коензиму А
Найбільш яскравий симптом Вз-авітамінозу у людини - оніміння пальців ніг, що супроводжується поколюванням; потім виникає пекучий біль в пальцях і підошвах, що розповсюджується до гомілки. Все це пояснюється тим, що пантотенова кислота входить до складу коензиму А (рис. 12.4), який є ключовим компонентом метаболізму в синтезі і розщепленні жирних кислот і забезпечує здійснення реакцій, необхідних для взаємоперетворення вуглеводів і жирів (див. Гл. 9).
Багатим джерелом пантотенової кислоти служать дріжджі, печінку, яєчний жовток, зелені частини рослин; в невеликих же кількостях вона міститься у всіх харчових продуктах. Крім того, пантотенова кислота синтезується мікрофлорою кишечника. Потреба в ній людини 12 мг / сут.
вітамін РР (В5) - нікотинова кислота і нікотинамід:
Нікотинова (піридинкарбонової) кислота (білі кристали з / п,п= 131 ° С) і її амід (нікотинамід, ніацин) відомі дуже давно. Ці речовини захищають від захворювання пелагрою (від італ. «Pellagra» - жорстка, шорстка шкіра) і виліковують її. Власне антіпелларгічним дію має тільки Амід нікотинової кислоти, а сама вона є провітаміном.
Починається пелагра з запалення слизових оболонок шлунково-кишкового тракту. Потім запалюється шкіра (дерматит) на ділянках тіла, схильних до висвітлення сонцем. Звідси назва вітаміну РР - за початковими літерами слів «preventive pellagra» (італ.), Що означає запобігає пелагру.
Нікотинамід входить до складу никотинамидадениндинуклеотида НАДН і його похідного никотінамідаденіндінуклеотідфосфата НАДФ. НАДН і НАДФ - найважливіші коферменти дегидрогеназ в різних метаболічних процесах (див. Гл. 9). Звідси зрозумілий механізм дії вітаміну РР - він заповнює дефіцит одного з ключових компонентів метаболізму.
Деяка кількість нікотинової кислоти синтезується в організмі тварин і людини з амінокислоти - триптофану. Цей синтез протікає за участю вітаміну В6. Таким чином, РР-авітаміноз розвивається при неповноцінному білковому харчуванні (мало триптофану) і нестачі вітаміну В6. Тому пелагру характеризують як поліавітаміноз, т. Е. Захворювання, викликане відсутністю декількох вітамінів в дієті.
Нікотинова кислота і її амід широко поширені в рослинних і тваринних об'єктах. Джерелом вітаміну РР для людини служить пшеничний хліб, печінку і нирки тварин, картопля і багато інших продуктів. Потреба людини 25 мг / сут.
вітамін Вб - піридоксин. вітамін В6 Зараз розглядають як поєднання трьох індивідуальних речовин: пірідоксол, піридоксалю і піридоксаміну:
Кожне з них має властивості вітаміну, бо в організмі здатне перейти в пиридоксальфосфат, який, власне, і бере участь в хімічних реакціях, пов'язаних з дією цього вітаміну.
Піридоксальфосфат - найважливіший компонент в метаболічних перетвореннях амінокислот (див. Гл. 9). Він є коферментом в реакціях декарбоксілірова- ня ряду амінокислот, а також в реакціях переамінування амінокислот з кето- кисл Отам і.
Відсутність в їжі піридоксину супроводжується різким порушенням обміну білків, так як реакції переамінування амінокислот забезпечують запас вільних амінокислот, необхідних для біосинтезу білкових тіл. Звідси зрозумілий механізм дії вітаміну В6: Він заповнює дефіцит метаболізму амінокислот.
Основним симптомом В6-авітамінозу є порушення кровотворення і розвиток різного роду дерматитів, які не піддаються лікуванню нікотиновою кислотою. У дітей припиняється ріст. Виявлено також, що Вб-авітаміноз може супроводжуватися порушенням обміну ліпідів, що веде до розвитку атеросклерозу.
Джерелом вітаміну В6 для людини служать яловичина, риба, горох, яєчний жовток і зелені частини рослин. Так як вітамін В6 дуже широко поширений в продуктах харчування, то в звичайних умовах В6-авітаміноз у людини не спостерігається. Потреба в ньому людини 2 мг / сут.
Вітамін Вп ~ ціанкобапамін. За своєю хімічною структурою (рис. 12.5) вітамін В12 відноситься до комплексних сполук - Коррін, подібним з порфірі- нами, до яких належить гем, що входить до складу гемоглобіну (див. Розд. 8.2).
Мал. 12.5. Будова молекули вітаміну В |2
Загальна маса кобальту в організмі дорослої людини становить приблизно 1,2 мг, т. Е. Менше 2-10 6 %. Близько 1 мг з цієї маси знаходиться в формі цианкобаламина і його аналогів.
Вітамін В12 - необхідний компонент кровотворення. Його дефіцит призводить до анемії.
Рослини не містять вітаміну В | 2 Основним його джерелом для людини служать м'ясо, молоко, яйця, але синтезується він тільки мікроорганізмами.
Депо вітаміну В12 у людини знаходиться в печінці, де цианкобаламин накопичується в кількості декількох міліграмів. Перенесення вітаміну В12 через кишкову стінку здійснює білок - так званий внутрішній фактор. Тому порушення синтезу цього фактора призводить до В 12- авітамінозу навіть при наявності достатньої кількості вітаміну в їжі. Частина його надходить в організм людини і тварин в результаті діяльності мікробів-симбіонтів кишкового тракту. Потреба людини в Ціанкобаламін становить 0,006 мг / сут.
вітамін вц - пангамовая кислота. Зазначене з'єднання було виділено в кристалічному стані з проростків рису, пивних дріжджів, печінки та інших джерел. Ця речовина дуже широко поширене в природі, особливо в насінні рослин, звідки й походить його назва (від грец. «Рал» - Усе, «Garni» - насіння).
Формула будови вітаміну Bts має вигляд
Пангамовая (К1-діметілгліціл-6-глкжоновая) кислота - гігроскопічний кристалічний білий порошок, добре розчинний у воді, але нерозчинний в ефірі, хлороформі і бензолі.
Пангамовая кислота робить позитивний вплив на переносимість кисневого голодування і може бути охарактеризована як антіаноксічний вітамін. Крім того, вона охороняє від жирового переродження печінки. Однак до сих пір невідомо, синтезується пангамовая кислота в організмі або вона повинна обов'язково надходити ззовні.
Механізм дії пангамовой кислоти полягає в каталітичному прискоренні перенесення метальних груп в біохімічних реакціях метилування різних сполук. Зокрема, пангамовая кислота забезпечує біосинтез холіну, метіоніну, креатину і креатинфосфату. Креатинфосфат активно руйнується при інтенсивних м'язових навантаженнях, тому при перевантаженні серця пангамат кальцію застосовують для лікування передінфарктний і післяінфарктного станів.
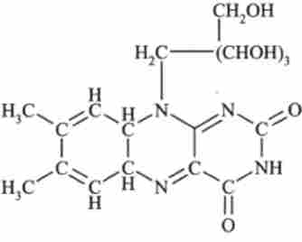
Вітамін Вс - птероилглутаминовая кислота. Цей вітамін більш відомий під назвою фолієвої кислоти, так як він міститься в значних кількостях в листі (від лат. «Folium» - лист). Виділено кілька фолієвої кислоти, і кожному представнику цієї групи вітамінів дають назву відповідно до його хімічною структурою. Структура однієї з фолієвою кислотою - птероілмоноглу- таміновой - представлена на рис. 12.6.
Мал. 12.6. Структура птероілмоноглутаміновой кислоти
Решта фолієвої кислоти відрізняються від птероілмоноглутаміновой кислоти наявністю більшого або меншого числа (від 3 до 6) залишків глутамінової кислоти, приєднаних до кінцевого залишку глутамінової кислоти у вигляді у-глутамілпептіда.
Фолієва кислота є голчасті кристали жовтого кольору, що містять 2 благаючи кристалізаційної води на 1 моль кислоти. Вони стабільні на повітрі, не можуть бути охарактеризовані по температурі плавлення, так як розкладаються при 250 ° С. Обмежено розчинні у воді (25 мг / л), крижаної оцтової кислоти і спиртах, нерозчинні в ефірі, ацетоні, хлороформі. При тривалому освітленні фолієва кислота руйнується.
В експериментах встановлено, що, якщо в їжі тварин (наприклад, курчат) бракує фолієвої кислоти, у них затримується ріст і порушується кровотворення.
Дуже чутливі до нестачі вітаміну Вз молочнокислі бактерії, для яких він є незамінним ростовим фактором.
Людина мало страждає від Нд-авітамінозу, так як фолієва кислота синтезується мікрофлорою шлунково-кишкового тракту і завжди надходить в організм в достатній кількості. У разі цього авітамінозу у людини розвиваються анемія і множинні порушення діяльності органів травлення.
Фолієва кислота - кофермент ряду ферментів, які переносять одинвуглецевого фрагменти при біосинтезі багатьох з'єднань. Зокрема, важливою стадією при біосинтезі метіоніну і тиміну є перенесення метальних груп. Ці сполуки відіграють провідну роль в обміні білків і нуклеїнових кислот (див. Гл. 9). Недолік метіоніну і серину лімітує синтез білкових тіл. Відсутність тиміну і відповідного йому нуклеотиду лімітує біосинтез ДНК і всіх видів РНК. У зв'язку з цим зрозумілі порушення життєдіяльності, які спостерігаються при Вз-авітамінозі.
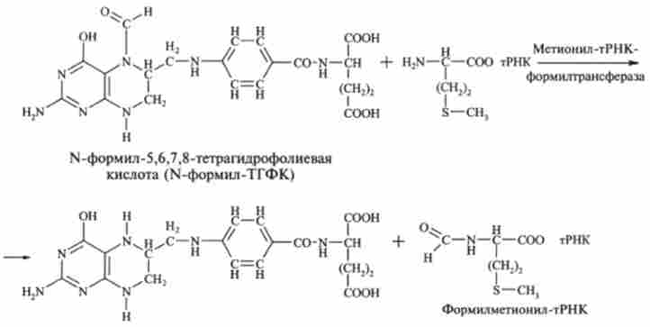
Фолієва кислота переносить одинвуглецевого фрагменти у відновленому стані, у вигляді тетрагидрофолиевой кислоти (ТГФК). Приєднання фрагментів за участю ферменту - формілметенілметілентетрагідрофолатсінтетази. Молекулярна маса ферменту з різних джерел знаходиться в межах від 150 000 до 225 000.
При перенесенні формільного радикала ТГФК взаємодіє з вітаміном В12
про н
Прикладом може служити перенесення формільной групи Л / при біосинтезі
З
формілметіоніл-тРНК, з приєднання якої до рибосоми починається біосинтез білків (рис. 12.7).

Мал. 12.7. Перенесення формільной групи
при біосинтезі формілметіоніл-тРНК
Джерелами фолієвої кислоти для людини є багато продуктів, в тому числі шпинат, цвітна капуста, печінка тварин, хліб. Особливо високий вміст фолієвої кислоти в пивних і пекарських дріжджах.