Головна
Cоціологія || Гуманітарні науки || Мистецтво та мистецтвознавство || Історія || Медицина || Науки про Землю || Політологія || Право || Психологія || Навчальний процес || Філософія || Езотерика || Екологія || Економіка || Мови та мовознавство
ГоловнаМедицина → біохімія людини
««   ЗМІСТ   »»

ВІТАМІН Н (ВОДОРОЗЧИННИЙ)

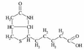
Вітамін Н (водорозчинний) - біотин. За своєю хімічною природою біотин є монокарбонової кислотою гетероцикличного будівлі:

Гетероциклічна частина молекули складається з имидазольного (А) і тіофенового (В) циклів, а бічний ланцюг представлена залишком валериановой кислоти.

Безбарвні, голчасті кристали біотину (/ пл=220 ° С) добре розчиняються у воді, обмежено - в спиртах і важко - в сірчаному ефірі. Біотин стійкий до дії молекулярного кисню і H2S04, але руйнується під впливом Н2О2, бромної води, НС1, HNO3 і лугів.

Необхідність біотину для нормальної життєдіяльності відображена в самій його назві (від грец. «Bios» - життя). При нестачі цього вітаміну в людини відбувається ряд патологічних змін: запалення шкірних покривів, випадання волосся, посилене виділення жиру сальними залозами шкіри.

Механізм дії біотину різноманітний. Головна роль біотину полягає в тому, що в якості коферменту він входить до складу ферменту, що прискорює реакції карбоксилювання. Нормальний хід біохімічних процесів визначається карбоксилювання піровиноградної кислоти, що зв'язує взаємоперетворенням вуглеводів і білків в організмі (див. Гл. 9).

У процесі дії цієї лігази виникає специфічний комплекс біотину з СО2, де оксид вуглецю (IV) переходить в активний стан, в якому він здатний впровадитися в метальних групу піровиноградної кислоти. З'єднання біотину з білком здійснюється через E-NH2-rpynny радикала лізину білкової молекули і СООН-групу бічного ланцюга молекули біотину. СО2 приєднується по атому N имидазольного циклу:

При такій структурі біотин-протеїнового комплексу циклічна частина молекули біотину, несуча активовану СООН-групу, має високий ступінь рухливості і передає карбоксил в точку приєднання субстрату на поверхні ферменту.

Біотин не тільки бере участь у фіксації СОГ, а й здійснює реакцію транскарбоксілірованія, т. Е. Передачу карбоксильної групи від одного з'єднання до іншого:

Участь біотину в реакції карбоксилювання і транскарбоксілірованія важливо і для синтезу жирних кислот. Є вагомі докази того, що біотин причетний до синтезу білка, пуринових підстав, РНК і ряду інших важливих сполук.

Джерелом вітаміну Н для людини є печінка і нирки великої рогатої худоби, курячі яйця, молоко, томати, соя, морква, картопля, горох.

МЕТОДИ ВИЗНАЧЕННЯ ВІТАМІНІВ

Сучасні методи визначення вітамінів ділять на фізико-хімічні та біологічні.

Багато вітамінів визначаються фотоколориметрично, оскільки дають з деякими сполуками характерні кольорові реакції.

Ряд вітамінів має здатність поглинати світло певної довжини хвилі. Вітамін А, наприклад, має смугу поглинання 328-330 нм. Вітаміни B |, В2 і ін. Визначають флюорометричні методами. Використовують також тіт- ріметрічні методи, наприклад для вітаміну С.

Біологічні методи засновані на визначенні тієї мінімальної кількості вітаміну, доданого до їжі, яке захищає від розвитку авітамінозу.

Питання до розд. 12.1

  1. Внутрішньопротокові папілярно-муцинозні пухлини підшлункової залози - факультетська хірургія
    Внутрішньопротокова папиллярная муцинозная пухлина (ВПМО) - це рідкісна екзокринна пухлина ПЖ, яка виходить із головного панкреатичного протоку або однієї з його гілок і характеризується секрецією великої кількості позаклітинної слизу, сосочковим типом росту, скупченням слизу в панкреатичних
  2. Внутрішньоклітинний розподіл ферментів, класифікація і номенклатура ферментів - біохімія
    Ферменти локалізовані у всіх компартментах клітин. Ядерні ферменти каталізують синтез інформаційних макромолекул, а також процеси їх дозрівання, функціонування і розпаду. В мітохондріях діють ферменти енергетичного обміну, в апараті Гольджі - ферменти, що каталізують дозрівання білків, в лізосомах
  3. Внутрішньоклітинний обмін ліпідів, катаболізм триацилгліцеролів - біохімія частина 2.
    липолиз (Гідроліз) резервних ліпідів в периферичних тканинах каталізується гормончувствітельной липазой до гліцерину і вільних вищих жирних кислот. Найбільш активно цей процес йде в жировій тканині, яка поширена по всьому організму: під шкірою, в черевній порожнині, утворює жирові прошарки
  4. Властивості основних нервових процесів: іррадіація, концентрація, індукція - фізіологія вищої нервової діяльності та сенсорних систем
    У нервовій системі співіснують два процеси - збудження і гальмування. Вони постійно змінюють один одного, взаємодіють один з одним, прийнято говорити про динаміку нервових процесів. І збудження, і гальмування можуть піддаватися концентрації, т. Е. Процес захоплює меншу площу і локалізується
  5. Властивості ДНК як речовини спадковості і мінливості, самовідтворення спадкового матеріалу. Реплікація ДНК - біологія. Частина 1
    Одним з основних властивостей матеріалу спадковості є його здатність до самокопірованія - реплікація. Це властивість забезпечується особливостями хімічної організації молекули ДНК, що складається з двох комплементарних ланцюгів. У процесі реплікації на кожній полінуклеотидних ланцюга материнської
  6. Визначення нуклеотидних послідовностей (секвенування) - генетика
    Встановлення первинної структури - нуклеотидноїпослідовності клонованого сегмента ДНК - необхідно для з'ясування його структури, функції і походження. Є дві категорії методів секвенування ДНК. В основі методів першої категорії лежать хімічні реакції, в яких використовують безпосередньо фрагменти
  7. Вітамін В12 (ціанкобаламін), загальна характеристика - біохімія
    Ціанкобаламін представляють собою групу речовин, що володіють активністю вітаміну B l2 . Вперше цей вітамін був отриманий в кристалічному стані в 1948 р Е. Рікетса і Е. Смітом. Кристали його темно-червоного кольору, добре розчинні у воді і нерозчинні в органічних розчинниках. Вітамін В, 2
  8. Вітамін q (жиророзчинний), вітаміни групи f (жиророзчинні) - біохімія людини
    Вітамін Q (жиророзчинний) - убіхінон (від лат. «Ubiqe» - скрізь). Вітамін Q дуже близький за будовою до вітамінів Е і К. Вперше виділений з жиру тварин. Убіхінон - кофермент, входить в дихальний ланцюг мітохондрій. Вітаміни групи Q поширені повсюдно. Вони знайдені в мікроорганізмах, рослинах,
© 2014-2022  ibib.ltd.ua