Головна
Cоціологія || Гуманітарні науки || Мистецтво та мистецтвознавство || Історія || Медицина || Науки про Землю || Політологія || Право || Психологія || Навчальний процес || Філософія || Езотерика || Екологія || Економіка || Мови та мовознавство
ГоловнаМедицина → біохімія
««   ЗМІСТ   »»

ВІТАМІН В12 (ЦІАНКОБАЛАМІН)

Загальна характеристика

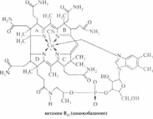
Ціанкобаламін представляють собою групу речовин, що володіють активністю вітаміну Bl2. Вперше цей вітамін був отриманий в кристалічному стані в 1948 р Е. Рікетса і Е. Смітом. Кристали його темно-червоного кольору, добре розчинні у воді і нерозчинні в органічних розчинниках. Вітамін В,2 чутливий до дії світла, при світловому впливі цианкобаламин перетворюється в оксикобаламин. З усіх відомих вітамінів цианкобаламин має найскладнішу хімічну структуру:

Виявлено багато природних аналогів вітаміну В12, крім того, ряд його аналогів отриманий методом хімічного синтезу (більше 30 сполук).

Антивітаміни В12 мають різну хімічну структуру. Наприклад, 1,2-діхлордіамінобснзол пригнічує синтез вітаміну В12, псевдовітамін В12 блокує процес всмоктування вітаміну в тонкому кишечнику.

Потреба людей у вітаміні В12 досить мала і становить всього близько 1 мкг на добу. У харчових продуктах вміст В12 також менше в порівнянні з іншими вітамінами. Дані представлені в табл. 10.6.

Таблиця 10.6. Вміст вітаміну В| 2 в деяких пішсвих продуктах

харчовий

продукт

Вміст вітаміну, мкг / г

харчовий

продукт

Вміст вітаміну, мкг / г

печінка бика

1.2

риба

0,12

серце

0.5

Куряче яйце

0,015

  1. Вомероназальний орган і феромони - фізіологія вищої нервової діяльності та сенсорних систем
    Феромонами називають біологічно активні речовини, що виділяються тваринами в навколишнє середовище і специфічно впливають на поведінку, фізіологічний і емоційний стан або метаболізм інших особин того ж виду. Як правило, феромони утворюються в спеціальних залозах. Їх біологічна дія здійснюється
  2. Волосся - цитологія, гістологія і ембріологія
    Волосся гігроскопічні, погано проводять тепло, є захисним утворенням. У сільськогосподарських тварин волосся відсутні лише на м'якуш пальців, носовому (у овець) і носогубного (у великої рогатої худоби) дзеркальцях. Волосся формуються з потовщення епітелію. Потім завдяки розмноженню клітин
  3. Водолікування (гідротерапія), послідовність дій медсестри при проведенні вологого укутування - сестринський догляд в фізіотерапевтичної практиці
    гідротерапія - лікувальне застосування прісної води. В її основі лежать реакції хворого на термічний, механічний і хімічний фактори, серед яких провідна роль належить термічного. У формуванні реакцій організму на гідролечебние фактори беруть участь механізми фізичної та хімічної терморегуляції
  4. Внутрішньопротокові папілярно-муцинозні пухлини підшлункової залози - факультетська хірургія
    Внутрішньопротокова папиллярная муцинозная пухлина (ВПМО) - це рідкісна екзокринна пухлина ПЖ, яка виходить із головного панкреатичного протоку або однієї з його гілок і характеризується секрецією великої кількості позаклітинної слизу, сосочковим типом росту, скупченням слизу в панкреатичних
  5. Внутрішньоклітинний обмін ліпідів, катаболізм триацилгліцеролів - біохімія частина 2.
    липолиз (Гідроліз) резервних ліпідів в периферичних тканинах каталізується гормончувствітельной липазой до гліцерину і вільних вищих жирних кислот. Найбільш активно цей процес йде в жировій тканині, яка поширена по всьому організму: під шкірою, в черевній порожнині, утворює жирові прошарки
  6. Властивості нервових центрів - ендокринна і центральна нервова системи, вища нервова діяльність, аналізатори, етологія
    Нервовим центром називається сукупність нейронів, необхідних для здійснення певного рефлексу. З фізіологічної точки зору нервовий центр - це складне поєднання нейронів, узгоджено і координовано беруть участь в регуляції функцій і рефлекторної реакції. Нервові центри мають ряд характерних
  7. Визначення вторинної структури білків - біохімія
    Для визначення вторинної структури білків використовуються в основному оптичні методи. Звичайно, більш надійним є рентгеноструктурний метод, однак його застосування пов'язане з певними труднощами і вимагає значного часу. Такі оптичні методи, як дисперсія оптичного обертання і кругового дихроизм,
  8. Витрата енергії при м'язовій діяльності - вікова анатомія і фізіологія. Т.2 опорно-рухова і вісцеральні системи
    Загальні енергетичні витрати організму (загальний обмін) складаються з основного обміну і додаткових витрат, так званих робочих збільшень. робоча прибавка - це витрата енергії на рухи і трудову діяльність на виробництві та в домашніх умовах, а також на терморегуляцію і специфічна динамічна
© 2014-2022  ibib.ltd.ua