Головна
Cоціологія || Гуманітарні науки || Мистецтво та мистецтвознавство || Історія || Медицина || Науки про Землю || Політологія || Право || Психологія || Навчальний процес || Філософія || Езотерика || Екологія || Економіка || Мови та мовознавство
ГоловнаМедицина → біохімія людини
««   ЗМІСТ   »»

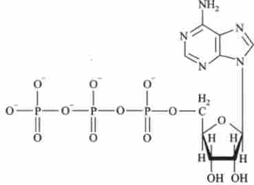
ВІЛЬНІ НУКЛЕОТИДИ. АТР І NADPH

Крім пов'язаних в ДНК і РНК нуклеотидів в організмі функціонує велика кількість вільних нуклеотидів: нуклеозідфосфати і никотинсодержащих нуклеотиди.

Вільні нуклеотиди містяться в значних кількостях у всіх клітинах. Вони утворюються або в результаті синтезу, або в результаті часткового гідролізу нуклеїнових кислот. У нуклеозидами є кілька вільних гідроксильних груп. Тому існує більш ніж одне положення, за яким фосфатна група може приєднуватися до кільця цукру.

Аденозілтріфосфат АТР (АТФ в російській написанні)

є переносником хімічної енергії, запасеної в високоенергетичних фосфатних групах. Це сполучна ланка між процесами метаболізму, що супроводжуються виділенням енергії, і процесами, що протікають зі споживанням енергії.

Для перенесення або розподілу енергії в окисно-відновних реакціях біосинтезу використовуються і інші нуклеозідфосфати. До них відносяться никотинсодержащих нуклеозідфосфати нікотінамідаденіндінуклеотід- фосфат NADP (НАДФ), NADPH (ТРЕБА (водень)), а також нікотінамідаде- нілдінуклеотід NAD * (НАД *, окислена форма) і NADH (НАД (водень), відновлена форма):

До окислювально-відновним переносникам енергії відносяться також FAD - флавінаденіндінуклеотід - і рібофлавінфосфат.

FAD є похідним вітаміну В2 (рибофлавіну). Його номенклатурне назву «рібофлавіндіфосфатрібозіладенін». Відновлюючись, FAD приєднує два атоми водню і перетворюється в FADH2.

Ще один переносник електронів, що відноситься до цієї групи, FMN - флавін мононуклеотид, також є похідним вітаміну В2 і має наступну будову (відрізняється від вітаміну В2 тільки наявністю фосфатної групи):

Обидва флавинових коферменту можуть існувати і в формі вільних радикалів - семіхінонов, які утворюються в результаті перенесення тільки одного електрона на FAD або FMN.

Загальне позначення різних флавопротеїдів, що розрізняються білкової складової ферменту, - FP ".

Дінуклеотід і трінуклеотідамі виконують і інші функції. Вони є переносниками деяких будівельних блоків. Наприклад, уридилдифосфата (UDP) - специфічний переносник залишків цукру при синтезі полісахаридів. У формі уріділдіфосфатглюкози він виступає як донор залишку глюкози при біосинтезі глікогену. Аналогічним чином цітіділдіфосфатхолін служить донором холіну при біосинтезі холінсодержащіх фосфогліцерідов.

Трінуклеотідамі є також високоенергетичними попередниками мононуклеотідних одиниць при ферментативному синтезі ДНК і РНК. В ході цих реакцій різні трінуклеотідамі передають свою кінцеву пірофосфатних групу різних метаболітів, перетворюючись в нуклеозідмонофосфати.

ДНК - хранитель спадкової інформації. Спадкова інформація записана (закодована) в строго визначеної послідовності нуклеотидів ланцюга ДНК. Будь-які зміни цієї послідовності (мутації) ведуть до порушення закодованої первинної структури білків в процесі їх біосинтезу. В результаті мутації порушуються функції білка, що і впливає на життєдіяльність організму в цілому.

Кількість інформації, записаної в ДНК, зростає з подовженням нуклеотидной ланцюга подібно до того, як зростає кількість інформації з об'ємом магнітного носія - плівки, диска і т. П.

Наприклад, нуклеотидная послідовність ДНК маленького вірусу фХ174 містить 5386 пар основ; нуклеотидних послідовність єдиною хромосоми кишкової палички Е. coli містить 4 млн пар основ. Нуклеотидная послідовність ДНК в 46 хромосомах людини майже в мільйон разів перевищує число пар основ в ДНК вірусу ФГ 174.

  1. Вітамін В12 (ціанкобаламін), загальна характеристика - біохімія
    Ціанкобаламін представляють собою групу речовин, що володіють активністю вітаміну B l2 . Вперше цей вітамін був отриманий в кристалічному стані в 1948 р Е. Рікетса і Е. Смітом. Кристали його темно-червоного кольору, добре розчинні у воді і нерозчинні в органічних розчинниках. Вітамін В, 2
  2. Вітамін В5 (РР, нікотинамід, ніацин), загальна характеристика - біохімія
    Відкриття вітаміну РР пов'язано з вивченням пелагри - захворювання шкіри. Модель експериментальної пелагри була запропонована в 19I7 р, і з цього часу почалися пошуки препаратів, що мають лікувальну дію при цьому захворюванні. Таким препаратом виявилася нікотинова кислота, яка в 1937 році
  3. Вітамін С (аскорбінова кислота), загальна характеристика - біохімія
    Відкриття вітаміну С пов'язано з лікуванням цинги - захворювання, зумовленого дефіцитом свіжих овошей в харчовому раціоні. Який ще наприкінці XIX ст. В. В. Пашутін спростував думку ряду лікарів про те, що цинга є інфекційним захворюванням, і зазначив разюча цілющу дію повноцінної дієти, що
  4. Вітамін н (водорозчинний), методи визначення вітамінів - біохімія людини
    Вітамін Н (водорозчинний) - біотин. За своєю хімічною природою біотин є монокарбонової кислотою гетероцикличного будівлі: Гетероциклічна частина молекули складається з имидазольного (А) і тіофенового (В) циклів, а бічний ланцюг представлена залишком валериановой кислоти. Безбарвні, голчасті
  5. Вітаміни, розчинні у воді, вітамін В1 (тіамін), загальна характеристика - біохімія
    К. Функ в 19I2 р з висівок рису отримав частково очищений тіамін, однак знадобилося ще близько 15 років для отримання кристалічного вітаміну В ,. Кристали його безбарвні, гіркуваті на смак, добре розчинні у воді. Тіамін знайдений як в рослинних, так в мікробних клітинах. Особливо багато його
  6. Вітаміни групи К (жиророзчинні) - біохімія людини
    Вітамін Ki - филлохинон (похідне 2-метил-1,4-Нафтохім нона) регулює згортання крові (антигеморрагичний фактор). вітамін До 2 - також похідне нафтохинона. Відрізняється від До | будовою бічного ланцюга, що містить від 30 до 45 вуглецевих атомів і несучої відповідно від 6 до 9 подвійних зв'язків
  7. Вісцеральні терморецептори - ендокринна і центральна нервова системи, вища нервова діяльність, аналізатори, етологія
    При дослідженні функціональних характеристик вісцеральних механорецепторов було відзначено, що частота їх змінюється при варіаціях температури. Однак у внутрішніх органах, зокрема в шлунково-кишковому тракті, в кровоносних судинах печінки, були виявлені рецептори, що реагують на зміну температури
  8. Вимоги до медичної документації - факультетська хірургія
    На кожного хворого в стаціонарі заводиться медична карта стаціонарного пацієнта (форма № 003 / о-80), а в амбулаторній мережі - медична карта амбулаторного хворого (форма № 025 / о-04). Медична карта хворого - юридичний документ, тому всі записи в медичній карті повинні відповідати істині,
© 2014-2022  ibib.ltd.ua