Головна
Cоціологія || Гуманітарні науки || Мистецтво та мистецтвознавство || Історія || Медицина || Науки про Землю || Політологія || Право || Психологія || Навчальний процес || Філософія || Езотерика || Екологія || Економіка || Мови та мовознавство
ГоловнаМедицина → Біохімія. Частина 2
««   ЗМІСТ   »»

БІОСИНТЕЗ ПУРИНОВИХ РИБОНУКЛЕОТИДІВ

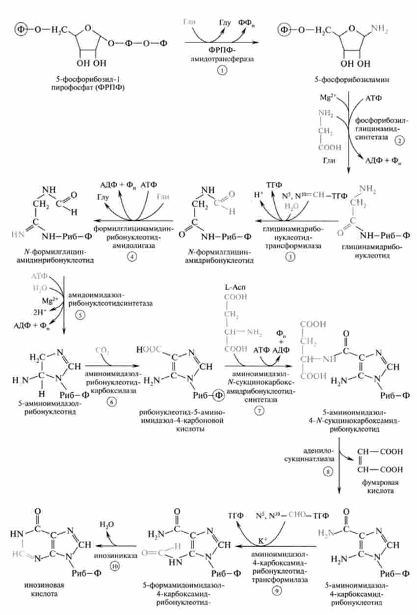
Біосинтез пуринових нуклеотидів de novo з простих попередників у різних видів живих організмів протікає однаково. Походження кожного атома пуринового гетероциклу встановлено експериментами з використанням ізотопів.

З наведеної вище схеми видно, що четвертий і п'ятий атоми вуглецю і сьомий атом азоту утворюються з гліцину. Два атома азоту (N3 і N9) Відбуваються з амидной групи глутаміну, один атом азоту (N1) - з а-аміног- Руппі аспарагінової кислоти; вуглецевий атом (С2) Відбувається з 1Ч| 0-фор мілтетрагідрофоліевой кислоти, атом вуглецю в восьмому положенні - з N5, 1М| 0-метенілтетрагідрофоліевой кислоти і, нарешті, вуглець С6 має своїм джерелом С02.

Як зазначалося вище, загальним попередником синтезу всіх пуринових нуклеотидів є інозин-5-монофосфат (ІМФ), що містить в якості азотистого підстави гипоксантин. У процесі синтезу ІМФ фосфорібозіл- пирофосфат (ФРПФ) бере участь в першій реакції, утворюючи фосфорібозіл- амін, і всі наступні стадії зводяться до складання пуринового кільця на цій основі. Особливістю шляху синтезу ІМФ є участь тетра гідрофолата (відновлена форма вітаміну В9), Коферментная функція якого

Метаболічний шлях синтезу ІМФ пов'язана з перенесенням одноуглеродних залишків, зокрема формільной (-СНО) -1М-форміл-ТГФ і метенільной (СН =) - М1М-замітання-ТГФ

Мал. 26.2. Метаболічний шлях синтезу ІМФ пов'язана з перенесенням одноуглеродних залишків, зокрема формільной (-СНО) -1М| 0-форміл-ТГФ і метенільной (СН =) - М5,0-замітання-ТГФ.

Послідовні реакції синтезу ІМФ, що каталізують їх ферменти, представлені на рис. 26.2.

Анаболічний шлях синтезу ІМФ закінчується утворенням гетероцикличного азотистого підстави - гипоксантина. Цей шлях значно складніший, ніж шлях синтезу піримідинових нуклеотидів, вимагає більшого числа вихідних з'єднань і включає послідовність десяти хімічних реакцій (див. Рис. 26.2, номера реакцій обведені в кружок).

  1. Будову і функції спинного та головного мозку, будова спинного мозку - вікова фізіологія і психофізіологія
    Спинний мозок (СМ) - найбільш філогенетично древній відділ ЦНС. У людини СМ є тяж довжиною близько 45 см у чоловіків і близько 42 см - у жінок. Тіло хребетних тварин на рівні СМ розділене на пояса, або сегменти. СМ має сегментарну будову: складається з 31-33 сегментів, кожен сегмент пов'язаний
  2. Будову і функції серця - фізіологія людини і тварин
    серце складається з двох послідовних насосів: перший проштовхує кров в легені, де вона насичується киснем і віддає вуглекислий газ ( легеневий або мале коло кровообігу ); другий доставляє кров, збагачену киснем, до всіх органів і тканин організму ( системний або велике коло кровообігу). Насос,
  3. Будову і функції клітини - вікова анатомія і фізіологія
    Клітини організму людини розрізняються за розмірами, формою, будовою і функціями (рис. 1.2), проте в їх структурі багато спільного. Так, кожна клітина має оболонку (плазматичну мембрану) і містить ядро і цитоплазму (рис. 1.3). У цитоплазмі знаходяться численні органели - лізосоми, мітохондрії,
  4. Будову головного мозку - вікова фізіологія і психофізіологія
    Головний мозок - найбільший відділ ЦНС, розташовується в черепній коробці людини і займає 80% її обсягу. Маса його у дорослої людини коливається від 1,1 кг до 2 кг. Усередині головного мозку розташовані порожнини - шлуночки мозку , зовні головний мозок захищений трьома мозковими оболонками,
  5. Будова органів дихання, повітроносні шляхи - вікова анатомія і фізіологія. Т.2 опорно-рухова і вісцеральні системи
    Система зовнішнього дихання людини утворена органами і тканинами, що забезпечують процес легеневої вентиляції, і складається з повітроносних шляхів, легенів, частини кістково-м'язової системи, що бере участь в організації дихальних рухів, - грудної клітки і діафрагми (рис. 10.1). До повітроносних
  6. Будова, функції та розвиток залоз внутрішньої секреції, щитовидна залоза - вікова анатомія і фізіологія
    Щитовидна залоза знаходиться в передній області шиї над щитовидним хрящем гортані, складається з двох частин, з'єднаних перешийком (рис. 3.4), і має дольчатое будова. Кожна часточка утворена мікроскопічними бульбашками - фолікулами з одношарової стінкою, наповненими колоїдів. У клітинах фолікулів
  7. Блокада просвіту каналу, уступ, тріщина коронки, перелом кореня зуба - стоматологія. Ендодонтія
    Блокада просвіту кореневого каналу. Блокада просвіту кореневого каналу тирсою дентину обумовлена використанням інструментів більшого розміру, ніж просвіт каналу, ігноруванням правила повернення до файлу меншого розміру при розширенні каналу, недостатньою ирригацией каналу і його засміченням
  8. Біосинтез триацилгліцеролів., біосинтез гліцерофосфоліпідів - біохімія частина 2.
    Біосинтез з фосфатидного кислоти триацилгліцеролів завершується дефосфорілірованіем і подальшої есте- ріфікаціей утворює 1,2-діацілгліцерола третьої молекулою КоА-про- похідних жирної кислоти по наведеній нижче схемі: Синтез триацилгліцеролів відбувається переважно в печінці і жировій тканині
© 2014-2022  ibib.ltd.ua