Головна
Cоціологія || Гуманітарні науки || Мистецтво та мистецтвознавство || Історія || Медицина || Науки про Землю || Політологія || Право || Психологія || Навчальний процес || Філософія || Езотерика || Екологія || Економіка || Мови та мовознавство
ГоловнаМедицина → Біохімія. Частина 2
««   ЗМІСТ   »»

БІОСИНТЕЗ ПІРИМІДИНОВИХ РИБОНУКЛЕОТИДІВ

Застосування мічених атомів дозволило з'ясувати походження кожного з атомів піримідинового кільця:

Біосинтез урідінмонофосфата (УМФ) - загального попередника всіх піримідинових нуклеотидів включає шість реакцій.

1. Освіта карбамоілфосфата при дії карбамоілфосфатсінте- тази II (КФС II). Донором аміногрупи в цій реакції є глутамін (амидная група). При синтезі сечовини (гл. 24) в реакції синтезу карбамоілфосфата бере участь NH3, а не глутамин і ця реакція каталізується карба- моілфосфатсінтетазой I (КФС I). Встановлено, що КФС I міститься тільки в мітохондріях печінки і каталізує синтез сечовини, а КФС II присутній в цитоплазмі практично всіх клітин організму і бере участь в синтезі пі рімідінов:

2. Карбамоільная група переноситься від карбамоілфосфата на а-аміно- групу аспарагінової кислоти; ця реакція каталізується аспартаткарбамо- ілтрансферазой (АКТФ):

3. Під дією дігідрооротази відбувається циклізація / V-карбамоілас- партата і освіту дігідрооротовой кислоти:

4. Дігідрооротовая кислота окислюється в оротовую кислоту НАД+-зави сімою дигідрооротатдегідрогенази (ДОДГ):

Синтез пиримидинового кільця завершується на цьому етапі.

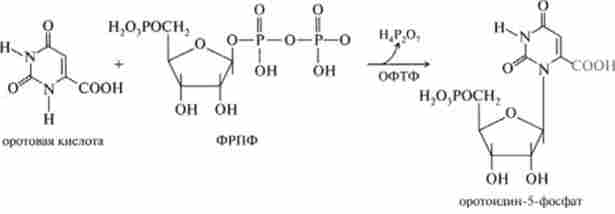
5. Приєднання рибоза-5-фосфату. Воно здійснюється при взаємодії оротової кислоти з ФРПФ в реакції, що каталізується оротатфос- форібозілтрансферазой (ОФТФ):

Фермент специфічний щодо оротової кислоти; ні її попередники, ні родинні піримідинів не можуть служити для нього субстратом.

Синтез уріділовой кислоти (УМФ) завершується шляхом незворотного де- карбоксилирования оротоідін-5-фосфату (ОМФ) оротоідінмонофосфатде- карбоксилаза (ОМФДК):

Фактичними попередниками для синтезу нуклеїнової кислоти служать нуклеозидтрифосфат, які утворюються з нуклсотідмонофосфатов (НМФ) в результаті двох послідовно протікають трансферазную реакцій:

Трансферази, що каталізують ці реакції, не виявляють специфічності щодо підстав та фосфорилируют аденін-, гуанін-, ураціл- і цито- зіннуклеотіди. При таких реакціях обшее зміст АТФ, природно, знижується. Слід пам'ятати, що цей трифосфат утворюється в результаті екзергоні- чеських окислювальних реакцій в процесі окисного фосфорилювання.

Таким чином, освіта УТФ з УМФ відбувається в результаті послідовних трансферазную (кіназного) реакцій при дії нуклеозід- монофосфат- і нуклсозіддіфосфаттрансфераз:

Молекула УТФ виконує в процесах метаболізму такі важливі функції:

Біосинтез цітідінтріфосфага (ЦТФ). Відомий тільки один шлях освіти цітідінових нуклеотидів, а саме амінірованіе УТФ, в якому донором аміногрупи виступає глутамін:

Слід зазначити, що ферменти реутилізацію піримідинових підстав, т. Е. Їх повторного використання в реакціях біосинтезу нуклеотидів, не були виявлені.

  1. Будову і функції серця - фізіологія людини і тварин
    серце складається з двох послідовних насосів: перший проштовхує кров в легені, де вона насичується киснем і віддає вуглекислий газ ( легеневий або мале коло кровообігу ); другий доставляє кров, збагачену киснем, до всіх органів і тканин організму ( системний або велике коло кровообігу). Насос,
  2. Будову і функції органів і систем організму, пов'язаних з харчуванням людини, харчування і травлення - фізіологія харчування
    Харчування - це процес надходження, перетравлення, всмоктування і засвоєння в організмі речовин, необхідних для покриття його енергетичних витрат, побудови і відновлення тканин і регуляції функцій організму. Харчування є однією з головних фізіологічних потреб організму, що забезпечують для
  3. Будову і функції жіночих статевих залоз - фізіологія людини і тварин
    Жіночі статеві органи представлені яєчниками - парними органами, розташованими в області малого тазу (рис. 3.4). За розмірами вони приблизно в два рази менше насінників, але, на відміну від них, не змінюють свого положення в протягом життя жінки. Мал. 3.4. Основні елементи будови зовнішніх
  4. Будова вуха. Вестибулярні і слухові рецептори - анатомія центральної нервової системи
    Органом слуху є вухо, в якому виділяють три відділи - зовнішнє вухо, середнє вухо і внутрішнє вухо, в якому власне і знаходяться вестибулярні слухові рецептори (рис. 14.1). Зовнішнє вухо (Рис. 14.1, а) складається з вушної раковини і зовнішнього слухового проходу. Вушна раковина - еластичний
  5. Будова м'язи - вікова анатомія і фізіологія. Т.2 опорно-рухова і вісцеральні системи
    Структурною одиницею скелетного м'яза є поперечно-смугасте м'язове волокно - скорочувальної багатоядерне освіту, оточене мембраною - сарколеммой (Від лат. sarcos - м'ясо) (рис. 7.27, 7.28). Кінці волокон закруглені і переходять в сухожилля. Діаметр волокна коливається від 12 до 70 мкм, а довжина
  6. Будова ферментів - біохімія
    Для ферментів характерні всі закономірності будови, властиві білкам. Ферменти завжди є глобулярними білками, причому вищої може бути як третинна, так і четвертинна структури. Складні ферменти складаються з білкового і небілкового компонентів. Білкова частина називається апоферментом , небілкова,
  7. Близнюковий метод - біологія. Частина 1
    Цей метод полягає у вивченні закономірностей успадкування ознак в парах одно- і двуяйцевих близнюків. Він запропонований в 1875 р Гальтон спочатку для оцінки ролі спадковості і середовища в розвитку психічних властивостей людини. В даний час цей метод широко застосовують у вивченні спадковості
  8. Біосинтез сечовини, орнітіновий цикл синтезу сечовини - біохімія частина 2.
    Головний шлях екскрекції азоту у ссавців відбувається в складі сечовини, що представляє собою інертне, водорозчинне, нетоксичний речовина: Як зазначалося раніше, сечовина синтезується в печінці, потім надходить у кров і екскретується нирками. На частку сечовини доводиться 80-90% виділяється
© 2014-2022  ibib.ltd.ua