Головна
Cоціологія || Гуманітарні науки || Мистецтво та мистецтвознавство || Історія || Медицина || Науки про Землю || Політологія || Право || Психологія || Навчальний процес || Філософія || Езотерика || Екологія || Економіка || Мови та мовознавство
ГоловнаМедицина → Біохімія. Частина 2
««   ЗМІСТ   »»

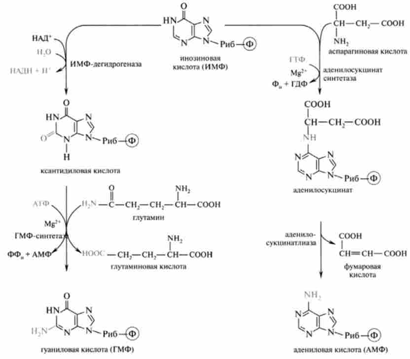
СИНТЕЗ АМФ І ГМФ

Інозинова кислота (ІМФ) в результаті двостадійний реакцій може перетворюватися в аденілові (АМФ) і гуанілова (ГМФ) кислоти (рис. 26.3).

У синтезі АМФ з инозиновой кислоти беруть участь аспарагінова кислота, яка є замовником Ин2-групи, і ГТФ - джерело енергії; проміжним продуктом реакції є аденілосукцінат.

Біосинтез ГМФ починається з дегідрування ІМФ і освіти ксан- тіділовой кислоти; в амінірованіе останньої використовується амідний азот глутаміну.

Біосинтез адениловой (АМФ) і гуанілова (ГМФ) кислот

Мал. 26.3. Біосинтез адениловой (АМФ) і гуанілова (ГМФ) кислот

Перетворення АМФ і ГМФ до відповідних нуклеозідді- і тріфосфа- ти протікає за участю специфічних нуклеозідмонофосфат- і нукле- озіддіфосфаттрансфераз за схемою:

АЛЬТЕРНАТИВНИЙ ШЛЯХ СИНТЕЗУ ПУРИНОВИХ НУКЛЕОТИДІВ

Наведені вище реакції являють собою основні шляхи синтезу пуринових нуклеотидів. Однак слід пам'ятати, що цей процес вимагає витрати значної кількості енергії у формі АТФ. Так, на синтез циклічної структури пуринів витрачається 5 молекул АТФ на кожну молекулу АМФ або ГМФ.

Відомий інший шлях - шлях реутилізацію пуринових підстав, утворилися в процесі розпаду ендогенних або екзогенних пуринових нуклеотидів. Мабуть, ці реакції слід розглядати як реакції «заощадження», що використовують пуринові кільця до їх перетворення в ксантин і потім в сечову кислоту перед екскрецією.

Існують два ферменти: гипоксантин-гуанінфосфорібозілтрансфера- за (ГФРТ) і аденінфосфорібозілтрансфераза (АФРТ), які повинні утилізувати вільні пурини, перетворюючи їх знову в нуклеотиди при взаємодії з ФРПФ:

Ілюстрацією значення утилізації пуринів для організму є рідкісне генетичне захворювання у людини - синдром Леша-Нихана. При цьому захворюванні відсутня ГФРТ - фермент утилізації гуаніну і гіпоксантину; інший фермент - АФРТ Утилітарист аденін, - присутній. При цьому спостерігається гіперурикемія - підвищений вміст сечової кислоти, що приводить до виникнення різних нейрофізіологічних порушень: підвищена нервозність, агресивність, уповільнення розумового розвитку та ін.

  1. Слухова компетенція - вікова фізіологія і психофізіологія
    Здатність чути звуки розвивається ще до народження дитини. В період новонародженості слухова система вдосконалюється - розширюється діапазон сприйманих звуків, підвищується здатність чути і т. Д. Новонароджені здригаються при гучних звуках, повертають голову на звук голосу. Від низькочастотних
  2. Слух і рівновагу - нервова система: анатомія, фізіологія, Нейрофармакологія
    Периферична (рецепторна) частина систем слуху і рівноваги (вестибулярного аналізатора) мають загальні риси. Рецептори цих двох систем є волосовими клітинами, т. Е. Механорецепторами, і розташовуються в структурах внутрішнього вуха. Внутрішнє вухо, в свою чергу, є продовженням зовнішнього і
  3. Склад крові - вікова анатомія і фізіологія. Т.2 опорно-рухова і вісцеральні системи
    Кров - непрозора червона в'язка рідина, що складається з рідкої плазми і формених елементів: еритроцитів, лейкоцитів і кров'яних пластинок - тромбоцитів (рис. 8.1). На частку формених елементів припадає 45% загального обсягу крові, інші 55% становить плазма. Основну частину формених елементів
  4. Склад і властивості кінцевої сечі - кровообіг, дихання, видільні процеси, розмноження, лактація, обмін речовин
    У добу у різних тварин утворюється від 0,3 до 20 л сечі, що становить 65 ... 80% випитої рідини (табл. 8.4). Щільність сечі зазвичай коливається в межах 1,005 ... 1,025. Реакція сечі залежить від характеру годування: при раціоні, багатому вуглеводами, сеча більш лужна, а при переважно білковому
  5. Сітківка - анатомія центральної нервової системи
    сітківка ( retina ) - сама внутрішня оболонка очного яблука - є рецептивної поверхнею зорового аналізатора. Вона прилягає до судинної оболонці на всьому її протязі аж до зіниці і ділиться на два відділи - задній, який містить фоторецептори, і передній, в якому фоторецептори відсутні. Кордоном
  6. Система органів травлення і її розвиток - вікова анатомія і фізіологія. Т.2 опорно-рухова і вісцеральні системи
    В результаті освоєння даного розділу студент повинен: знати морфофункціональну організацію системи травлення людини і особливості її розвитку в пре- і постнатальний періоди; особливості травлення в ротовій порожнині, шлунку, кишечнику; будова, особливості розвитку і зміни зубів у дітей; механізми
  7. Синтез сквалена з мевалоната - біохімія частина 2.
    Метаболічний шлях перетворення ме- валоната починається з його активації під дією трьох АТФ-залежних кіназ. Спочатку Мевалонова кислота фосфорілірустся АТФ по гідроксигрупа в положенні 5, в результаті чого утворюється 5-фосфомевалонат, який потім при витраті ще однієї молекули АТФ перетворюється
  8. Синтез білка (трансляція), генетичний код - біохімія частина 2.
    Перш ніж перейти до механізмів біосинтезу білкових макромолекул, доречно поставити питання: що ж таке генетичний код? Інформація, закладена в ДНК і РНК, реалізується в процесі синтезу білка. Механізми передачі інформації від ДНК на РНК зрозумілі й очевидні, так як ланцюг нуклеотидів характерна
© 2014-2022  ibib.ltd.ua