Головна
Cоціологія || Гуманітарні науки || Мистецтво та мистецтвознавство || Історія || Медицина || Науки про Землю || Політологія || Право || Психологія || Навчальний процес || Філософія || Езотерика || Екологія || Економіка || Мови та мовознавство
ГоловнаМедицина → Біохімія. Частина 2
««   ЗМІСТ   »»

БІОСИНТЕЗ ТРИАЦИЛГЛІЦЕРОЛІВ

Біосинтез з фосфатидного кислоти триацилгліцеролів завершується дефосфорілірованіем і подальшої есте- ріфікаціей утворює 1,2-діацілгліцерола третьої молекулою КоА-про- похідних жирної кислоти по наведеній нижче схемі:

Синтез триацилгліцеролів відбувається переважно в печінці і жировій тканині. Відомо, що більшість ферментів, що беруть участь в біосинтезі цієї групи ліпідів, локалізовано в ЕПР. У слизовій оболонці кишечника триацилгліцеролів синтезуються з жирних кислот, моно- і діаціл- Гліцерол.

БІОСИНТЕЗ ГЛІЦЕРОФОСФОЛІПІДІВ

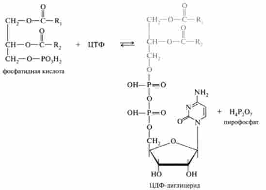
Фосфатидними кислота є ключовим проміжним з'єднанням в синтезі практично всіх груп фосфоліпідів, що входять до складу біомембран. Особливістю цих біосинтетичних процесів є участь цітідінтріфосфата (ЦТФ) в синтезі і перенесення активованих интермедиатов для реакції конденсації або з фосфатидного кислотою, або з продуктом її дефосфорилирования 1,2-ди-ацил гл і церола му.

Нижче представлена узагальнена схема шляху освіти фосфоліпідів, який пов'язаний з попередніми освітою ЦДФ-діаіілгліцерола і конденсацією його з полярними радикалами.

Як приклад наведено механізм реакцій синтезу найбільш поширених мембранних ліпідів: фосфатидилхоліну, фосфатіділетанола і фосфатидилсерина. Цим шляхом здійснюється освіту фосфоліпідів у бактерій; у ссавців йде синтез головним чином фосфатіділі- нозіта і кардіоліп і на. Спочатку фосфатидними кислота в результаті взаємодії з ЦТФ перетворюється в цітідіндіфосфат-диацилглицерол (ЦДФ-диглицерид):

У наступній реакції цітідінмонофосфат витісняється з молекули ЦДФ-дигліцеридів серином, утворюючи фосфатіділсерін:

Фосфатидилсерин може декарбоксилировать з утворенням фосфаті- ділетаноламіна:

Фосфатіділетаноламін є попередником фосфатидилхоліну. В результаті послідовного перенесення трьох метильних груп від трьох молекул ^ -аденозілметіоніна (донора метильних груп) до аміногрупи залишку етаноламіну утворюється фосфатидилхолин:

У тварин тканинах превалює інший шлях синтезу фосфатидилхоліну і фосфатиди етаноламін, що включає активацію та взаємодія з ЦТФ холіну або етаноламіну і наступний перенос фосфорілірованний спиртів на 1,2-диацилглицерол.

Як приклад наведена схема синтезу фосфатидилхоліну. Двустадийному процес активації холіну:

перша стадія:

друга стадія:

Заключна реакція синтезу фосфатидилхоліну включає реакцію перенесення активованого холіну (фосфохолін) на 1,2-диацилглицерол, що утворюється під дією фосфатази на фосфатидними кислоту:

Аналогічним чином здійснюється синтез фосфатидилетаноламін. Останній, як було показано вище, є попередником фосфатидилхоліну для організмів, що володіють здатністю до ендогенного синтезу холіну.

Фосфатидилсерин в організмі ссавців здатний також синтезуватися в реакції обміну етаноламіну, що входить до складу фосфатидилетаноламін, на L-серин:

  1. Будову і розвиток чоловічих статевих органів. Сперматогенез - вікова анатомія і фізіологія
    Статева система чоловічого організму представлена парними чоловічими статевими залозами - семенникамі , або яєчками , їх протоками і підрядними статевими залозами (насіннєві бульбашки, передміхурова залоза) (рис. 2.6). На відміну від жіночих статевих залоз, насінники знаходяться Мал. 2.6
  2. Будову і функції вегетативної (автономної) нервової системи, будова вегетативної нервової системи - вікова фізіологія і психофізіологія
    Вегетативна (автономна) нервова система є частиною периферичної нервової системи і регулює мимовільну активність внутрішніх органів (рис. 2.12). Вона складається з симпатичної, парасимпатичної та метасімнатічної системи. функції вегетативного відділу нервової системи полягають в підтримці
  3. Будову і функції органів травлення у людини. Основні травні процеси - фізіологія харчування
    Травна система здійснює початковий етап обміну речовин між зовнішнім і внутрішнім середовищами організму. До складу травної системи входять травний тракт і травні залози, що виробляють травні соки (слинні, шлункові залози, підшлункова залоза, печінка, кишкові залози). Травний тракт являє собою
  4. Будову і функції жіночих статевих залоз - фізіологія людини і тварин
    Жіночі статеві органи представлені яєчниками - парними органами, розташованими в області малого тазу (рис. 3.4). За розмірами вони приблизно в два рази менше насінників, але, на відміну від них, не змінюють свого положення в протягом життя жінки. Мал. 3.4. Основні елементи будови зовнішніх
  5. Будова типовою клітини багатоклітинного організму - біологія. Частина 1
    Клітини багатоклітинних організмів, як тварин, так і рослинних, відокремлені від свого оточення оболонкою. Клітинна оболонка, або плазмалемма, тваринних клітин утворена мембраною, покритий зовні шаром гликокаликса товщиною 10-20 нм. Основними складовими гликокаликса служать комплекси полісахаридів
  6. Будова клітини, цитоплазматична мембрана - анатомія центральної нервової системи
    Вивченням будови клітини та принципів її життєдіяльності займається наука цитологія. Більшість клітин можна побачити тільки за допомогою мікроскопа (середні за розміром клітини мають діаметр від 20 до 100 мкм). Клітка - елементарна структурно-функціональна одиниця живого, що володіє всіма
  7. Бродіння, зв'язок з гліколізом - біохімія
    Гліколіз лежить в основі ряду процесів бродіння, т. Е. Катаболіче- ських перетворень вуглеводів мікроорганізмами в анаеробних умовах (табл. 18.3). Бродіння, як і анаеробне розщеплення вуглеводів, - це внутрішні окислювально-відновні процеси, в результаті яких роль кінцевого акцептора електронів
  8. Біосинтез замінних амінокислот - біохімія частина 2.
    Людина і тварини здатні синтезувати тільки 10 з 20 амінокислот, необхідних для синтезу білка, - це замінні амінокислоти (24.2). Шляхи біосинтезу цих амінокислот різноманітні, але при цьому вони володіють однією важливою властивістю: (Т) вуглецевий скелет амінокислот утворюється з проміжних
© 2014-2022  ibib.ltd.ua