Головна
Cоціологія || Гуманітарні науки || Мистецтво та мистецтвознавство || Історія || Медицина || Науки про Землю || Політологія || Право || Психологія || Навчальний процес || Філософія || Езотерика || Екологія || Економіка || Мови та мовознавство
ГоловнаМедицина → Біохімія. Частина 2
««   ЗМІСТ   »»

СИНТЕЗ СКВАЛЕНА З МЕВАЛОНАТА

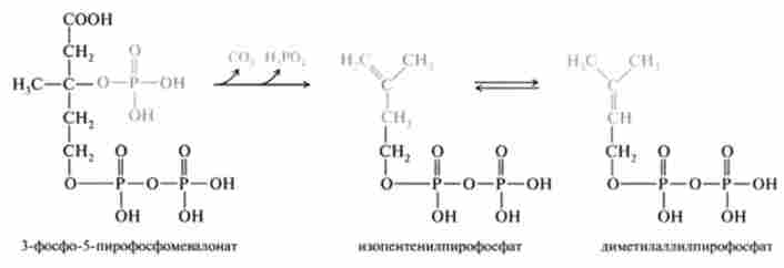
Метаболічний шлях перетворення ме- валоната починається з його активації під дією трьох АТФ-залежних кіназ. Спочатку Мевалонова кислота фосфорілірустся АТФ по гідроксигрупа в положенні 5, в результаті чого утворюється 5-фосфомевалонат, який потім при витраті ще однієї молекули АТФ перетворюється в 5-пірофосфомсвалонат. Потім 5-пірофосфомсвалонат в результаті подальшого фосфорилювання гідроксигрупи при третьому вуглецевому атомі перетворюється в нестабільний проміжний продукт З-фосфо-5-пірофосфомевалонат:

Далі З-фосфо-5-пірофосфомевалонат в результаті декарбоксілірова- ня і дефосфорилирования перетворюється в ізопентенілпірофосфат, який можна зупинити изомеризуется в діметілалл мул пирофосфат:

Освіта сквалену з ізопреноїдного пірофосфатів протікає через ряд послідовних конденсацій. Конденсація ізопентенілпірофосфата з діметілаллілпірофосфатом дає монотерпен - Геран мул пирофосфат, що містить 10 вуглецевих атомів:

Геран мул пирофосфат, в свою чергу, конденсується з наступною молекулою ізопентіл пірофосфату, що призводить до утворення Сесквітерпени - Фарнезе п і рофосфата:

Дві молекули фарнезілпірофосфата, конденсуючись один з одним, утворюють дегідросквален, який потім відновлюється до сквалена:

Сквален є вуглеводень з відкритою ланцюгом, що складається з шести ізопреноїдного залишків. У рослинах і в багатьох мікроорганізмах існує відгалуження від метаболічного потоку на стадії освіти фарнезілпірофосфата. Замість самоконденсаціі відбувається конденсація з ще однією молекулою ізопентенілпірофосфата, утворюється проміжний вуглеводень З20, який здатний до самоконденсаціі з утворенням

Схема перетворення ізопентснілпірофосфата

Мал. 23.17. Схема перетворення ізопентснілпірофосфата

З ^ -вуглецевого скелета - попередника всіх каротиноїдів і ксантофиллов (рис. 23.17).

  1. Соматичні мутації - біологія. Частина 1
    Мутації різного рангу (генні, хромосомні або геномні), що виникають в соматичних клітинах організму, успадковуються нащадками цих клітин і роблять організм мозаїка, т. е. особиною зі змішаними популяціями клітин. У розд. 3.6.5.1 і 3.6.5.2 розглянуті приклади природного мозаїцизму жіночого
  2. Сновидіння - фізіологія вищої нервової діяльності та сенсорних систем
    Вважається, що кожна людина бачить сни по кілька разів за ніч, просто не всі їх потім можуть згадати. Є багато різних теорій щодо ролі і причин виникнення сновидінь. У Великій радянській енциклопедії дається таке визначення сновидінь: сновидіння - це суб'єктивно пережиті психічні явища, які
  3. Смакова сенсорна система - анатомія центральної нервової системи
    Велика частина смакових рецепторів знаходиться на мові. Крім того, вони розташовані на м'якому небі, задній стінці глотки, надгортаннике і навіть в стравоході. Рецепторні клітини об'єднані під смакові цибулини (нирки), які зібрані в три види сосочків - желобовідних (або оточені валиком),
  4. Слухова сенсорна система - фізіологія вищої нервової діяльності та сенсорних систем
    В результаті вивчення даного розділу студент повинен: знати природу і параметри звукової хвилі; пристрій периферичного відділу слуховий системи; механізми формування просторового слуху; роль підкіркових і кіркових відділів слухової системи; вміти пояснювати механізм збудження слухових рецепторів;
  5. Склад лімфи, функції лімфатичної системи - фізіологія людини і тварин
    Склад лімфи, що відтікає від різних органів, може сильно відрізнятися. Лімфа, відтікає від печінки, містить білка до 60 г / л, а відтікає від кишечника - 30-40 г / л. При цьому в лімфі, що відтікає від кишечника, міститься дуже багато жирів, які всмокталися з кишечника після перетравлення
  6. Склад і будова тваринної клітини, хімічний склад клітини - цитологія, гістологія і ембріологія
    Хімічні елементи і неорганічні сполуки відповідно до процентним вмістом в клітці ділять на три групи: макроелементи: водень, вуглець, азот, кисень (концентрація в клітині - 99,9%); мікроелементи: натрій, магній, фосфор, сірка, хлор, калій, кальцій (концентрація в клітині -0,1%); ультрамікроелементи:
  7. Система згортання крові (гемостаз) - фізіологія людини і тварин
    під терміном «Гемостаз» розуміють сукупність фізіологічних процесів, що протікають за участю клітин крові, судинної стінки і компонентів плазми, що завершуються зупинкою кровотечі через ушкоджену судину. розрізняють два основних механізми гемостазу: первинний і вторинний. Первинний гемостаз
  8. Сіра речовина спинного мозку - анатомія центральної нервової системи
    Сіра речовина СМ містить три групи мультиполярних нейронів. 1. корінцеві - це мотонейрони і прегангліонарних нейрони автономної НС; їх аксони утворюють передні корінці. 2. пучкові - переключательние нейрони (інтернейрони); аксони цих нейронів утворюють шляхи, що з'єднують між собою сегменти
© 2014-2022  ibib.ltd.ua