Головна
Cоціологія || Гуманітарні науки || Мистецтво та мистецтвознавство || Історія || Медицина || Науки про Землю || Політологія || Право || Психологія || Навчальний процес || Філософія || Езотерика || Екологія || Економіка || Мови та мовознавство
ГоловнаМедицина → біохімія людини
««   ЗМІСТ   »»

НУКЛЕОТИДИ - БУДІВЕЛЬНІ БЛОКИ НУКЛЕЇНОВИХ КИСЛОТ

Нуклеотиди складаються з трьох компонентів: вуглеводу, азотистого підстави і фосфорної кислоти.

У молекулі ДНК вуглевод є дезоксирибози С5Н10О4:

До складу молекули РНК входить рибоза С5Н10О5:

Таким чином, у рибози на один атом кисню більше, ніж у дезоксирибози.

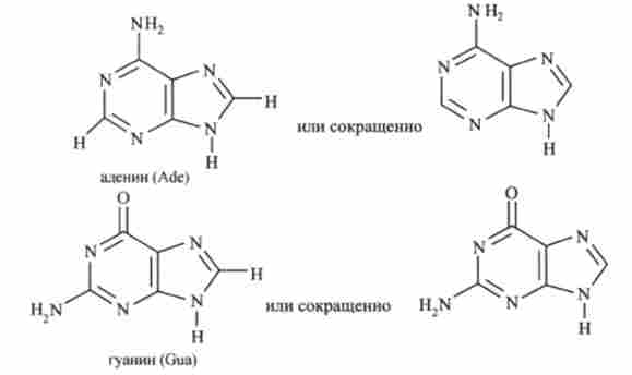
Азотисті основи, що входять до складу ДНК і РНК. діляться на два класи гомологів, похідних піримідину і пурину. Для позначення підстав прийняті скорочення: аденін - Ade, гуанін - Gua, тимін - Thy, цитозин - Cyt (більш стисло A, G, Т, С, або А, Г, Т, Ц відповідно).

Формула будови пиримидина:

Формула будови пурину:

До похідних піримідину відносяться такі азотисті основи, блоки ДНК і РНК:

Важлива відмінність нуклеотидів РНК і ДНК полягає в тому, що замість тиміну, що міститься в ДНК, в РНК входять урацил і цитозин.

До похідних пурину належать такі азотисті основи, блоки ДНК і РНК:

Похідні фосфорної кислоти (фосфати), що входять до складу ДНК і РНК:

Нуклеотиди - мономери ланцюгів ДНК і РНК - утворюються в результаті послідовних реакцій етерифікації рибози азотистими підставами і фосфатами.

Мононуклеотиди представляють собою сильні кислоти. Саме мононуклео- тідние залишки визначають кислі властивості нуклеїнових кислот. значення pfC для двох здатних до дисоціації ОН-груп залишку фосфорної кислоти відповідають приблизно 1,0 і 6,2. Тому при pH 7,0 вільні нуклеотиди знаходяться головним чином у формі R-O-PO32де R - залишок нуклеотиду.

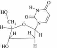
Реакції етерифікації підстав і рибози йдуть з образваніем відповідних нуклеозидов. Реакція етерифікації урацила і рибози дає нуклеозид уридин:

Аналогічно виходять нуклеозиди за участю дезоксирибози та інших азотистих основ.

Наприклад, при етерифікації урацила і дезоксирибози утворюється нуклеозид дезоксіурідіна:

Нуклеозиди, що входять до складу ДНК, синтезуються аналогічно. До них відносяться

Третій компонент нуклеїнових кислот - фосфорна кислота - при етерифікації нуклеозидами утворює складноефірні зв'язку з рибозой або дезоксірібо- зой. При цьому синтезуються мономерні компоненти полімерних ланцюгів ДНК і РНК - нуклеотиди.

Як приклад можна привести освіту мононуклеотида - уріділ- монофосфата:

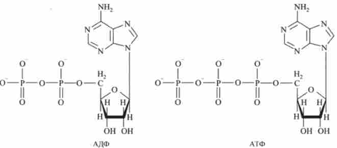
Аналогічним шляхом етерифікування аденозин, утворюючи аденозил монофосфат (АМФ, або АМР) - важливий компонент енергозабезпечення організму:

Додаткове фосфорилирование АМФ призводить до синтезу ще двох компонентів енергозабезпечення організму: аденозілдіфосфага (АДФ) і аденозіл- трифосфата (АТФ):

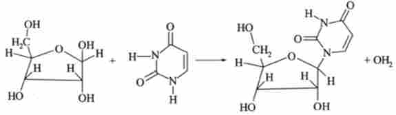
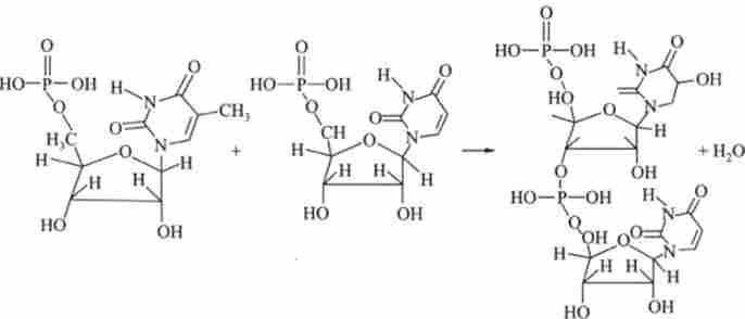
Після накопичення достатньої кількості нуклеотидів здійснюється полімеризація - з'єднання нуклеотидів в полімерну ланцюг і в кінцевому рахунку утворюється нуклеїнова кислота. Починається полімеризація з освіти димарів - динуклеотидів. Наприклад, освіту діуріділа протікає в результаті з'єднання двох нуклеотидів:

  1. Окислення жирних кислот - біохімія частина 2.
    Окислювальне розщеплення жирних кислот - універсальний біохімічний процес, що протікає у всіх видах живих організмів. У ссавців цей процес відбувається в багатьох тканинах, в першу чергу в печінці, нирках, серцевому та скелетних м'язах. У клітці окислення жирних кислот локалізовано в матриксі
  2. Огляд будови головного мозку. Черепні нерви. Вегетативна нервова система. Периферичні нерви, головний мозок - нервова система: анатомія, фізіологія, Нейрофармакологія
    В результаті вивчення даного розділу студенти повинні: знати основні принципи будови ГМ; основні терміни, використовувані при описі архітектури і функціонування відділів ЦНС; функції ГМ; відмінності між симпатичним і парасимпатичних відділами BIIC; вміти розрізняти 12 пар відходять від ГМ
  3. Одночасне спадкування декількох ознак. Незалежне і зчеплене успадкування - біологія. Частина 1
    Раніше були розглянуті характерні риси фенотипічного прояву і успадкування окремих ознак. Однак фенотип організму являє собою сукупність багатьох властивостей, за формування яких відповідають різні гени. Так як загальне число генів у генотипі значно більше числа хромосом, кожна хромосома містить
  4. Оболонки центральної нервової системи - анатомія центральної нервової системи
    НС грає величезну роль в житті організму. Це визначає необхідність її надійного захисту від механічних і інших несприятливих впливів навколишнього середовища. Крім кісткової захисту (ГМ лежить всередині черепа, спинний - всередині хребетного каналу) СМ і ГМ оточені трьома оболонками - твердої,
  5. Обмін речовин і енергії в організмі - фізіологія харчування
    Обмін речовин (метаболізм) у безперервний спосіб протікає у всіх клітинах організму людини і забезпечує підтримку його життєдіяльності. В результаті метаболізму утворюються речовини, необхідні організму для відновлення і побудови клітин і тканин. Завдяки обміну речовин організм людини забезпечується
  6. Обмін жирів (ліпідів) - вікова анатомія і фізіологія. Т.2 опорно-рухова і вісцеральні системи
    Жири (ліпіди) - не тільки основне джерело енергії в організмі, але і необхідна складова частина клітин. Вони виконують в організмі пластичні функції. Нейтральні жири є компонентом структурних елементів клітини (ядра, цитоплазми, мембрани); депоновані в підшкірній клітковині, вони оберігають
  7. Обхідні реакції глюконеогенезу - біохімія
    Фосфорилювання пірувату. Перетворення пірувату в фосфоеноілпі- руват йде за участю двох ферментів мітохондріальної піруваткарбок- сілази (ПК) і цитозольного ферменту фосфоеноілпіруваткарбоксікінази (ФЕКК). Отже, на цій стадії процесу беруть участь два окремих субклітинних компартмента - цитозоль
  8. Нуклеотиди в складі коферментів, синтетичні аналоги нуклеотидів, області їх застосування - біохімія
    Багато коферменти і споріднені з ними сполуки є похідними аденозин монофосфату: нікотінамідаденіндінуклсотід (НАД + ), Ні- котінаміднуклеотідфосфат (НАДФ + ), Флавінаден і йди нуклеотид (ФАД), 3'-фосфоаденозін-5-фосфосульфат (ФАФБ), 5-аденозил метіонін, КоА і ін. Синтетичні аналоги пуринових
© 2014-2022  ibib.ltd.ua