Головна
Cоціологія || Гуманітарні науки || Мистецтво та мистецтвознавство || Історія || Медицина || Науки про Землю || Політологія || Право || Психологія || Навчальний процес || Філософія || Езотерика || Екологія || Економіка || Мови та мовознавство
ГоловнаМедицина → біохімія
««   ЗМІСТ   »»

НУКЛЕОТИДИ В СКЛАДІ КОФЕРМЕНТІВ

Багато коферменти і споріднені з ними сполуки є похідними аденозин монофосфату: нікотінамідаденіндінуклсотід (НАД+), Ні- котінаміднуклеотідфосфат (НАДФ+), Флавінаден і йди нуклеотид (ФАД), 3'-фосфоаденозін-5-фосфосульфат (ФАФБ), 5-аденозил метіонін, КоА і ін.

СИНТЕТИЧНІ АНАЛОГИ НУКЛЕОТИДІВ, ОБЛАСТІ ЇХ ЗАСТОСУВАННЯ

Синтетичні аналоги пуринових і піримідинових основ, нуклео- зідов, нуклеотидів знаходять широке застосування в молекулярній біології, фармації та медицині. Їх використання пов'язане в першу чергу зі структурною роллю нуклеотидів як попередників синтезу нуклеїнових кислот.

Синтетичні аналоги пуринових і піримідинових основ і їх нуклеозиди (6-меркаптопурин, 6-метілмеркаптопурін- рібозід, 6-тіогуанін, 8-азогуанін, 5-азоці- тідін, 5-фторурацил, фторофур і ін.) Є однією з ефективних груп лікарських препаратів в онкології. При введенні їх в організм онкологічних хворих ці сполуки або інгібують певні ферменти, необхідні для синтезу нуклеїнових кислот, або спотворюють структуру ДНК при встановленні аналога, що обумовлює цитотоксичний ефект.

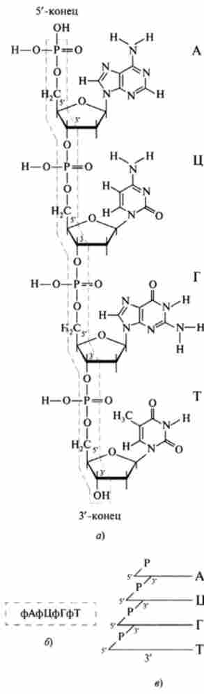
Схема з'єднання нуклеотидів в полінуклсотідную ланцюг

Мал. 14.1. Схема з'єднання нуклеотидів в полінуклсотідную ланцюг: а - повна форма запису; б - скорочена форма запису з використанням однобуквеним символіки; в - схематична

Багато аналоги нуклеозидів (5-іодде- зоксіурідін, арабінозілцітозін і ін.) Зарекомендували себе як антивірусні препарати.

  1. Окислювально-відновні (red / ox) реакції - біохімія людини
    Окислювально-відновні реакціями називають хімічні процеси, що супроводжуються переносом електронів від одних молекул або іонів до інших. Наприклад, при витісненні міді з розчину C11SO4 цинком Zn електрони від атомів цинку переходять до іонів міді: При окисно-відновних реакціях протікають два
  2. Окислення ненасичених жирних кислот - біохімія частина 2.
    Окислення активованих ненасичених жирних кислот (ацил-КоА) відбувається так само, як і окислення насичених кислот, т. Е. За механізмом р-окислення. Однак подвійні зв'язку природних ненасичених жирних кислот (олеїнової, лінолевої і т. Д.) Мають ^ -конфігурації, а в коа-ефірах ненасичених кислот,
  3. Одношарові епітелії - цитологія, гістологія і ембріологія
    Епітеліальні клітини в одношарових епітелію розташовані на базальній мембрані. Вони покривають поверхні серозних оболонок внутрішніх органів, а також вистилають канальці нирок, слизові оболонки шлунка, тонкого і товстого відділів кишечника, яйцеводов, матки. Мезотеліом (одношаровий плоский
  4. Обробка їжі в ротовій порожнині - вікова анатомія і фізіологія. Т.2 опорно-рухова і вісцеральні системи
    У процесі жування їжа подрібнюється в ротовій порожнині. Це значно полегшує її подальше перетравлення і всмоктування. У жуванні беруть участь верхня і нижня щелепи, зуби, язик, щоки, жувальні м'язи. Хоча жування - довільний рух, воно в основному здійснюється як мимовільний рефлекторний акт
  5. Обмін води - кровообіг, дихання, видільні процеси, розмноження, лактація, обмін речовин
    Біологічне значення води як універсального розчинника виключно високо. Кількість води в організмі тварин становить близько 65% маси тіла, недолік надходження води викликає особливо тяжкі порушення життєдіяльності, аж до смерті. Всі біохімічні реакції в організмі йдуть у водних розчинах. Складні
  6. Обмін нуклеїнових кислот і нуклеотидів, загальна характеристика - біохімія частина 2.
    Багато аспектів обміну нуклеїнових кислот мають безпосередній стосунок до найважливіших проблем сучасної молекулярної біології і біохімії. У числі цих проблем - розшифровка молекулярних механізмів, що визначають синтез різних макромолекулярних структур, вивчення законів передачі генетичної
  7. Обмін білків і амінокислот, загальна характеристика - біохімія частина 2.
    Білки є основними функціональними молекулами всіх видів живих організмів. Майже будь-яка робота в клітці - хімічна, скорочувальна, рецепторна, транспортна, імунна і багато інших виконуються білками. На відміну від вуглеводів і ліпідів білки і складові їх амінокислоти нс здатні резервуватися
  8. Нюх і смак - нервова система: анатомія, фізіологія, Нейрофармакологія
    Периферична (рецепторна) частина систем нюху і смаку представлена хемосенсорнимі клітинами - екстерорецеіторамі, що реагують на певні хімічні сполуки. Це дозволяє називати нюх і смак «хімічними почуттями». По відношенню до адекватних стимулів нюх в 10 000 разів чутливіші, ніж смак. Людина
© 2014-2022  ibib.ltd.ua