| Головна |
| «« | ЗМІСТ | »» |
|---|
Подальше послідовне приєднання мононуклеотидів призводить до утворення полінуклеотидів, окремим випадком яких є ДНК і РНК (рис. 8.21).
Синтез нуклеїнових кислот можна записувати коротко, позначаючи нуклеотид / через Nu "де / = 1, 2, 3, 4.
Освіта динуклеотид, наприклад для реакції (АМР) + (GMP) -? -? AG + H20:

Освіта три нуклеотиду:

Число нуклеотидів у ланцюгу ДНК може сягати мільйона (106), і довжина розгорнутої ланцюга становить близько 1 м.
Мал. 8.2 /. Будова відрізків розгорнутої ланцюга ДНК (первинна структура)
Послідовність пов'язаних між собою нуклеотидів називається первинною структурою нуклеїнової кислоти.
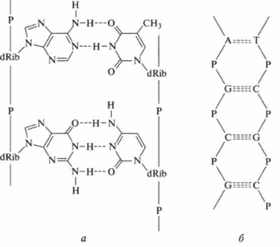
Мал. 8.22. Будова ділянок подвійної спіралі ДНК:
а - відрізок подвійної спіралі з чотирма ну клеотідамі, з'єднаними водневими зв'язками: б - відрізок подвійної спіралі з 14 нуклеотидами, з'єднаними водневими зв'язками
Розмір ядра клітини, в якому знаходяться молекули ДНК, близько 1 мкм (106 м), т. е. в мільйон разів менше довжини розгорнутої ланцюга ДНК. Тому ланцюг ДНК, подібно швейної нитці в клубку або на котушці, згортається, укладається (упаковується) певним чином, поінімая різні конбоомаціі. Цей процес називається конденсацією ДНК.
Мал. 8.23. Структура спіралі ДНК. Нуклеозиди позначені символами A, Т, G, С
Перша стадія укладання - з'єднання двох однакових ланцюгів ДНК в подвійну нитку через водневі зв'язки між парами нуклеотидів (рис. 8.22).
Скорочену запис послідовності нуклеотидів у ланцюгу нуклеїнових кислот роблять шляхом позначення підстав латинськими буквами А, Т, G, С або російськими А, Т, Г, Ц відповідно, а фосфатних груп - символом Р.
Наведені на рис. 8.22, б послідовності нуклеотидів можна записати літерним кодом: в лівій ланцюга pApGpCpG, в правій pTpCpGpC (тут р - фосфат).
На другій стадії подвійна нитка згортається у вторинну структуру ДНК - подвійну спіраль (біспіралью), аналогічну спіралям білків (рис. 8.23). Біспіралью піддається подальшій укладанні. В результаті виходить компактна ядерна структура - хромосома.
Здатність подвійної спіралі приймати різні конформації називається поліморфізмом ДНК.
Третинна і четвертинна структури - це способи упаковки ДНК в клітинах.
Третинна структура - конденсація двухцепочечной ДНК, в результаті якої лінійні розміри молекул ДНК зменшуються в 10 000 разів.
Існує 2 способи конденсації - сфероїдальних намотування (має місце тільки у вірусах) і освіту сверхспіразі ДНК.
З верху пі рал і заці я - це закручування в спіраль осі подвійної спіралі (освіта сверхвітков).
Наступний рівень упаковки ДНК в клітинах - це асоціація сверхспіральной ДНК з різними специфічними білками - гистонами. Гістони володіють основними властивостями, складаються головним чином з аргініну і лізину. Амінокислотна послідовність гістонів відрізняється високим сталістю структури і практично однакова у організмів різних видів. Гістонові білки, що входять до структури ДНК, характеризуються лужною реакцією.
Таким чином, в неактивному стані для клітини ДНК характерні чотири рівні спирализации: подвійна спіраль нуклеотидноїпослідовності, скручування подвійної спіралі, намотування подвійної спіралі на гістонові білки (як нитка на котушку), скручування білково-нуклеотидной структури.
У клітинному циклі розвитку і поділу йдуть зворотні процеси, що призводять до розгортання спіралі з тим, щоб ДНК була доступною для зчитування записаної на ній генетичної інформації.
Подвійна спіраль ДНК складається з двох полінуклеотидних ланцюгів, які утворюють праву спіраль щодо однієї осі, звідси і назва - подвійна спіраль. Напрямок ланцюгів взаємно протилежне.
Сахарофосфатний остов розташовується по периферії подвійної спіралі. Азотисті основи знаходяться всередині, і їх площині перпендикулярні осі спіралі. Між підставами утворюються специфічні водневі зв'язку, в результаті чого здійснюється так зване уотсон-криковських спарювання.
Мал. 8.24. Схема процесів денатурації і Ренату рації ДНК
Згідно з Уотсоном і Криком, аденін А утворює водневі зв'язки з тиміном Т (АТ-пара). а гуанін G з цитозином С (GC-napa). Більш об'ємні молекули пуринів завжди спаровуються з молекулами меншого розміру - пірі- мідінамі. Це призводить до того, що відстані між вуглецевими атомами С | дезоксирибози в спарених ланцюгах виявляються однаковими для АТ і GC пар і складають 1,085 нм.
При спостереженні в мікроскоп за ядром діляться еукаріотів виявляється, що молекули їх ДНК, що несуть генетичний матеріал. розподілені по хромосомах, число яких залежить від роду організму. У клітці людини в нормі знаходиться 46 хромосом (23 пари).