Головна
Cоціологія || Гуманітарні науки || Мистецтво та мистецтвознавство || Історія || Медицина || Науки про Землю || Політологія || Право || Психологія || Навчальний процес || Філософія || Езотерика || Екологія || Економіка || Мови та мовознавство
ГоловнаМедицина → біохімія
««   ЗМІСТ   »»

МЕТАБОЛІЗМ

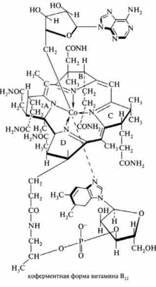
вітамін В) 2 у вільному стані не може всмоктуватися в шлунково-кишковому тракті, а засвоюється організмом тільки в комплексі зі специфічним білком. Цей білок є глікопротеїн з молекулярною масою 90 kDa і називається внутрішнім фактором або фактором Кастла (на прізвище відкрив його вченого). Комплекс вітаміну В12 з фактором

Касла легко всмоктується в тонкому кишечнику. Після надходження в кров цей комплекс розпадається, і внутрішній фактор руйнується протеиназами крові. Вільний кобаламин утворює комплекси з а- і р-глобулінами, які і транспортують його до тканин. У тканинах кобаламин перетворюється в свої активні форми - метилкобаламін (Мет-К) і дезоксиаденозилкобаламін (ДОАК) - коферменти ряду кобамідних ферментів. Розпад їх здійснюється в печінці та нирках, а кобаламин виводиться з організму з сечею.

БІОХІМІЧНІ ФУНКЦІЇ

Біологічна значимість вітаміну В,2 визначається його участю (як у вільному вигляді, так і в складі коферментів) в тих чи інших біохімічних реакціях. ДОАК, будучи коферментом-КоА-мутази, каталізує реакції перетворення Малоні-КоА в сукцинил-КоА, а також у складі метіласпартатмутази изомеризацию глутамінової кислоти в р-мстіласпа- рагіновую кислоту. вітамін В12 втягується в процес освіти формених елементів крові, а також в обмін жирів в якості протектора КоА.

  1. Алгоритм дії медичної сестри при навчанні хворого правилам прийому інгаляцій - сестринський догляд в фізіотерапевтичної практиці
    1. Інгаляції слід проводити в спокійному стані, не відволікаючись розмовою або читанням. Одяг не повинен стискати шию і дихання. 2. При захворюваннях носа, навколоносових пазух вдих і видих слід проводити через ніс, без напруги. 3. При захворюваннях глотки, гортані, трахеї, великих бронхів
  2. Активні центри ферментів - біохімія
    У простих ферментів каталітичну функцію здійснюють безпосередньо білки. В реакції з субстратом бере участь не вся поліпептід- ная ланцюг, а всього лише кілька амінокислотних залишків, як правило, розташованих на значній відстані один від одного у поліпептидному ланцюзі. У процесі формування
  3. Активатори ферментів - біохімія
    Активатори ферментів - це речовини, що збільшують швидкість ферментативної реакції. Найчастіше в якості активаторів виступають іони металів, такі, як залізо, мідь, кобальт, магній і ін. Слід розрізняти метали, що знаходяться в складі мсталлофсрмснтов, так звані кофактор, і виступають в якості
  4. Аденозинтрифосфорна кислота - нервова система: анатомія, фізіологія, Нейрофармакологія
    Аденозинтрифосфорная кислота є нуклеотидом, але не полімером, як ДНК або РНК, а мономером, що складається з аденіну, рибози і трьох залишків фосфорної кислоти. АТФ - універсальний сховище і переносник енергії у всіх клітинах. Енергія запасається в хімічних зв'язках між залишками фосфорної
  5. 74. Етіологія - факультетська хірургія
    Численні етіологічні фактори ОКН прийнято ділити на привертають і виробляють. До сприяючих чинників відносять вроджені та набуті анатомічні особливості, які за певних умов можуть сприяти порушенню просування кишкового вмісту: дивертикул Меккеля, загальна брижа клубової і сліпої кишок, долихосигма,
  6. 67. Класифікація - факультетська хірургія
    Слід виділяти гострий панкреатит; легкого ступеня - панкреонекроз не утворюється (набряклий панкреатит), і органна недостатність не розвивається; середнього ступеня - є одне з місцевих проявів захворювання (періпанкреатічної інфільтрат, псевдокісга, відмежований інфікований панкреонекроз (абсцес)),
  7. 59. Клінічна картина і діагностика - факультетська хірургія
    Діагностика перитоніту при типовому перебігу, як правило, не представляє труднощів і будується на ранньому виявленні відомих клінічних ознак - хворобливості при пальпації, м'язової напруги і симптомів подразнення очеревини. Перша ознака перитоніту - болі в животі. Виникнення раптових болів
  8. 50. Метаболізм, біохімічні функції - біохімія
    При надходженні з пішей в слизової тонкого кишечника рибофлавін частково всмоктується в кров методом простої дифузії. У процесі транспорту через мембрани він під дією ферменту флавокінази і АТФ перетворюється в ФМН, а в печінці в результаті дії ФАД-залежної піро фосфорілази і АТФ - в ФАД
© 2014-2022  ibib.ltd.ua