| Головна |
| «« | ЗМІСТ | »» |
|---|
Ліпіди (від грец. «Lipos» - жир) - загальна назва для всіх відомих жирів і жироподібних речовин з різною структурою. що володіють типовим властивістю - гидрофобностью (нерозчинність у воді) - і загальними біологічними функціями.
Ліпіди об'єднані в одну групу з фізико-хімічними властивостями. Тварини жи ^ и - тверді легкоплавкі речовини легше води (щільність 0,91- 0,94 г / см), погано проводять тепло. Більшість рослинних масел - рідини, що застигають при температурі нижче 0 ° С (соняшникова - від -16 до -19 ° С, а оливкова - від -2 до -6 ° С, тому воно легко замерзає), але відомі і тверді (кокосове, пальмова, ядропальмовос, масло какао). Киплять масла при атмосферному тиску лише при високій температурі (близько 300 ° С) і при цьому розкладаються; їх можна переганяти тільки в вакуумі. Жири та олії нерозчинні в воді, а в присутності поверхнево-активних речовин можуть давати з нею емульсію. Вони добре розчиняються в ефірі, бензолі, хлороформі і інших неполярних і малополярних органічних розчинниках (ССЦ, CHCI3, СС12 = СНС1 і ін.). Саме такими розчинниками виводять жирові плями в хімчистці.
Ліпіди важливі для пластичного і енергетичного обміну. Пластична роль їх полягає в тому, що вони входять до складу клітинних мембран і в значній мірі визначають їх властивості. Велика енергетична роль жирів. Їх енергоємність більш ніж в два рази перевищує таку вуглеводів або білків.
Велика частина жирів в організмі знаходиться в жировій тканині, менша входить до складу клітинних структур. В жировій тканині жир, що знаходиться в клітці у вигляді включень (ліпосом) (див. Рис. 6.2), легко виявляється при мікроскопічному і мікрохімічному дослідженнях. Жирові крапельки в клітинах - це запасний жир, який використовується для енергетичних потреб. Найбільше його міститься в жировій тканині, якою особливо багато в підшкірній основі (клітковині), навколо деяких внутрішніх органів, зокрема нирок (в приниркової клітковині), а також в деяких органах, наприклад в печінці і м'язах.
Ліпіди утворюють безліч сімейств, але у всіх є вуглеводневі ланцюги, які і визначають загальні відмінні властивості цих речовин.
В організмі людини міститься 10-20% ліпідів від маси тіла і всі вони можуть бути розділені на два види: конструктивні і резервні.
Конструктивні (протоплазматичні) входять до складу всіх структур клітин органів і тканин (клітинні мембрани), і їх зміст практично залишається на одному рівні протягом усього життя, складаючи приблизно 25% від загальної кількості ліпідів організму.
Резервні ліпіди запасаються в організмі, і кількість їх змінюється в залежності від віку, статі, умов харчування, характеру діяльності.
За біологічним функціям ліпіди поділяються на три основні групи.
Ліпіди беруть участь в процесах терморегуляції, оберігають шкіру від висихання, захищають органи від струсів (утворюючи свого роду жирову «подушку» навколо нирок, очей), забезпечують всмоктування з кишечника жиророзчинних вітамінів, є потенційним резервом ендогенної води в організмі (при окисленні 100 г жиру утворюється 10 мл води), а також джерелом ненасичених жирних кислот.
Жирні кислоти - це довгі вуглеводневі ланцюги, що несуть на одному з кінців карбоксильную (-СООН) групу (табл. 8.17). Вуглеводневі ланцюги можуть бути насиченими і частково ненасиченими (див. Також гл. 2).
Солі жирних кислот - поверхнево-активні речовини, володіють миючим дією. Їх називають милами з побутового застосування. До них відноситься, наприклад, лаурат натрію СНЗ (СН2) юСООИа
Таблиця 8.17
Найбільш поширені жирні кислоти
|
Число атомів вуглецю |
Crpyiaypa |
Назва |
|
насичені кислоти |
||
|
12 |
СН3(СН2),0СООН |
лауринова |
|
14 |
СН3(СН2),2СООН |
Мірісті нова |
|
16 |
СН, (СН2)| 4СООН |
пальмітинова |
|
18 |
СН3(СН2),6СООН |
стеаринова |
|
ненасичені кислоти |
||
|
16 |
СНЗ (СН2)5СН = СН (СН2) 7СООН |
пальм ітоолеіновая |
|
18 |
СН, (С112)7СН = СН (СН2)7СООН |
олеїнова |
|
18 |
СН3(СН2)4СН = СНСН2СН = СН (СН2)7СООН |
лінолева |
|
18 |
СН3СН2СНСНСН2СН<; НСН2СН = СНЗ (СН2)7СООН |
ліноленова |
|
20 |
СН, (СН2), (СН2СН = СН)4(СН2)3СООН |
Арахілоновая |
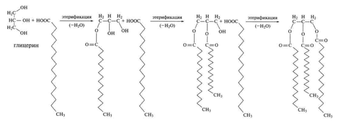
У їжу людини жирні кислоти входять в основному у вигляді нейтральних жирів - це похідні трехатомного спирту гліцерину, який етерифіковані жирними кислотами за всіма трьома гідроксильних груп. Такі складні ефіри називають триацилгліцеридів (або трнацілгліцероламі). Триацилгліцеридів складають основну масу ліпідів в організмі.
Більшість жирних кислот може бути отримано з їжею, але вони не є незамінними: клітини можуть самі їх синтезувати. Однак є два винятки. Це лінолева і ліноленова жирні кислоти. При їх відсутності в їжі у людини може розвинутися захворювання, що характеризується лущенням шкіри, випаданням волосся і уповільненням зростання.
Жирні кислоти запасаються (депо ліпідів) в організмі, як правило, у формі тріацілгліцірідов, так як вільні жирні кислоти при високих концентраціях токсичні.
Жирні кислоти є специфічними функціональними групами (будівельними блоками) ліпідів. В якості інших функціональних груп-блоків виступила пают гліцерин, фосфорна кислота, холін та ін .:
Тріацілгліцірід утворюється в результаті послідовних реакцій етерифікації гліцерину жирними кислотами (рис. 8.18).
Триацилгліцеридів можуть утворитися при взаємодії з різними жирними кислотами:

Мал. 8.18. Послідовні сталии синтезу триацилгліцеридів
При взаємодії фосфогліцеріна з холін утворюється фосфатидилхолин:

Якщо нейтральні жири кип'ятити в водному розчині лугу, то складноефірні зв'язку гідролізуються і утворюються гліцерин і мила (реакції, зворотні етерифікації). Даний процес отримав назву омилення.
Нейтральні жири не мають полярної групи, тому не виконують структурних функцій в організмі, а є тільки «енергетичними депо».