| Головна |
| «« | ЗМІСТ | »» |
|---|
Крім жирних кислот до гліцерину можуть приєднуватися і інші групи, такі, як аміногрупи кислоти і вуглеводи. Завдяки цьому утворюється безліч ліпідів з різноманітними властивостями.
До одного з трьох вуглецевих атомів гліцерину може бути приєднана полярна група (полярна «головка»), яка несе заряд або не заряджена. Для молекул таких ліпідів характерна наявність довгого гидрофобного «хвоста» -R і полярної «головки» (табл. 8.18):
Таблиця S.I8
Поширені полярні головні групи в фосфолипидах
|
фосфолипид |
головний група |
фосфолипид |
|
фосфорілхолін |
-P (02) 0CH2CH2N4(CH,) j |
Лецитин (фосфатидилхолін) |
|
Фосфорілетаноламін |
-Р (02) ОСН2СН2КН,+ |
Кефалін (фосфатіділетаноламін) |
|
Фосфорілссрін |
-P (02) OCH2CH (NH, 'XCOO ") |
Фосфатиди і л серин |
Специфічна здатність цих сполук вступати як в гідрофільні, так і в гідрофобні взаємодії робить їх ідеальними компонентами біологічних мембран. Похідні гліцерин-3-фосфату, звані гліцерофосфо- ліпідами (або фосфогліцерідов), Є найбільш поширеними мембранними ліпідами.
Найпростіший представник фосфогліцерідов - фосфатидними кислота

У мембранах часто зустрічаються похідні фосфатидного кислоти, в якій до фосфорильної залишку приєднані різні полярні радикали (X):

Чим більше полярен радикал X, тим полярне «головка» фосфоліпідної молекули.
Як полярних радикалів виступають залишки холіну і фосфорної кислоти. Холін зазвичай відносять до вітамінів групи В, хоча тварини і мікроорганізми здатні його синтезувати. Холін - це одне з найважливіших речовин, основне завдання яких полягає в переробці, розрідженні і транспортуванні молекул жиру в печінці і в інших частинах організму. Холін допомагає контролювати накопичення холестерину, сприяє передачі нервових імпульсів, які використовуються мозком для формування пам'яті.
Джерела холіну - жовток яйця, мізки, серце, печінку, зелені листові овочі, дріжджі. При нестачі холіну з'являється забудькуватість, пригніченість, стан страху, дратівливість. Спостерігаються безсоння, серцева аритмія, порушення кровообігу, головний біль, шум у вухах, запори.
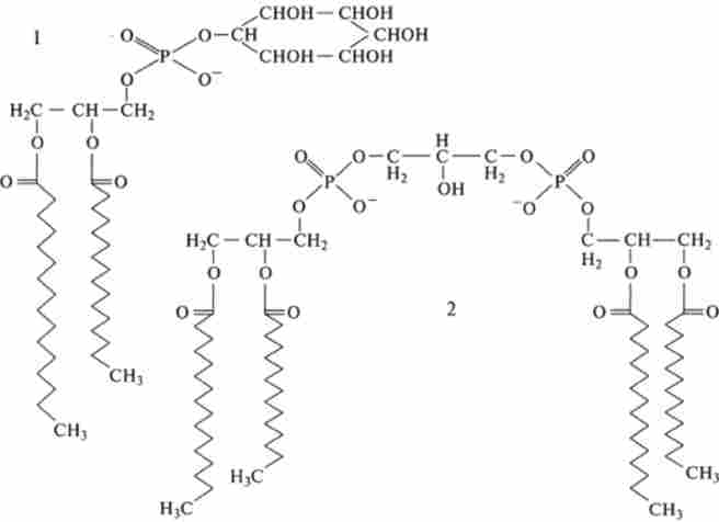
До полярних радикалам, що не несе заряд, відносяться залишки шестиатомного спирту - інозиту, що утворює фосфатіділінозіт (рис. 8.19).
Мал. 8.19. Формули будови фосфатіділінозіта (/) і карліолініна (2)
Рис 8.20. Ьіслойная структура ліпідної мембрани клітини. У центрі мембрани канал для проведення різних речовин
У внутрішніх мембранах мітохондрій і в мембранах бактеріальних клітин зустрічається діліпід, утворений з двох з'єднаних гліцерином залишків фосфатидного кислоти, - кардиолипин (або діфосфатіділгліцерін) (рис. 8.19).
У міру накопичення ліпідів формується клітинна мембрана. У мембрані молекули ліпідів шикуються рядами в подвійний шар (бішар) гідрофільними полярними «головками» назовні (до водного середовища), липофильними «хвостами» всередину мембрани (жировий прошарок) (рис. 8.20).
Завдяки своїм біфільним властивостям фосфоліпіди не тільки є основою всіх клітинних мембран, а й виконують інші функції. Вони утворюють поверхневий гідрофільний шар глобул ліпопротеїнів крові, вистилають поверхню альвеол, запобігаючи злипання стінок під час видиху. Деякі фосфоліпіди беруть участь у передачі сигналу в клітини.
Крім фосфогліцерідов в багатьох типах мембран є ліпіди, утворені приєднанням жирної кислоти і полярного радикала до сфингозин. Особливо багаті на них нервові тканини, зокрема мозок.
Сфингозин - це аміноспирт з довгою вуглеводневої ланцюгом:

Встановлено, що при патологічних станах організму, зокрема при злоякісних утвореннях, змінюється метаболізм і склад сфинголипидов, особливо гликосфинголипидов, що призводить до порушення структури мембран і біологічних функцій клітин.
сфінголіпіди - обов'язкові компоненти всіх еукаріот. Вони являють собою один з найбільш різноманітних за хімічною будовою і біологічною активністю класів ліпідних молекул.
Численними дослідженнями встановлено, що сфінголіпіди впливають на структурні властивості біологічних мембран і ліпопротеїнів, є мембранними «якорями» деяких білків, беруть участь в процесах клітинного впізнавання, регуляції росту, диференціювання та апоптозу клітин, рецепції гормонів, факторів росту, цитокінів, є антигенами, імуномодуляторами та вторинними месенджера (передавачами сигналу).
Клас «сфінголіпіди» об'єднує сотні сполук ліпідної природи, що розрізняються хімічною структурою та біологічними функціями, але мають загальний фрагмент - сфінгоїдних (сфінгозіновое) підставу, що представляє собою аміноспирт з довгою алифатичної ланцюгом. Сфінголіпіди ділять на 2 основні групи:
Сфінгомієліни (від грец. «Sphingo» - стискаю, здавлюють, пов'язую і «myelos» - мозок) є найбільш поширеними Сфинголипидами. Вони в основному знаходяться в мембранах тваринних і рослинних клітин. Особливо багата ними нервова тканина; сфінгомієліни виявлені також в тканинах нирок, печінки, легенів, селезінки, еритроцитах. Особливо багато їх в сірому і білій речовині мозку, а також в оболонці аксонів периферичної нервової системи.
Сфінгомієлін може накопичуватися в клітинах нервової системи та інших органах в кількостях, в десятки разів перевищують норму. Це призводить до психічних розладів (хвороба Німана-Піка) і невралгії.
Сфінгомієлін виділяють з мозку великої рогатої худоби або синтезують.
При гідролізі молекули сфінгоміеліна утворюються одна молекула жирної кислоти, одна молекула двоатомних ненасиченого аминоспирта сфингозина, одна молекула азотної основи (частіше це холін) і одна молекула фосфорної кислоти. Саме тому сфінгомієліни відносяться до класу фосфоліпідів. Загальна структура сфінгоміелінов виглядає так:

Конформація молекули сфінгоміеліна в певному відношенні подібна до конформацией гліцерофосфоліпідів.
гліколіпіди (Гликосфинголипидов) - складні ліпіди, що містять у складі молекули вуглеводні групи (частіше залишок D-галактози). Гліколіпіди грають істотну роль у функціонуванні біологічних мембран. Вони містяться переважно в тканини мозку, але є також і в кров'яних клітинах і інших тканинах. Відомі чотири основні групи гликолипидов: цереброзидів, суль- Фатида, глобозіди і гангліозиди.
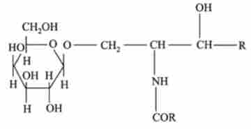
цереброзидів (Від лат. «Cerebrum» - мозок) - природні органічні сполуки з групи складних ліпідів. Вперше були виявлені в складі мозку (звідси назва). Не містять ні фосфорної кислоти, ні холіну. До їх складу входить гек- Соза (зазвичай це D-галактоза), яка пов'язана ефірним зв'язком з гідроксильною групою аминоспирта сфингозина. Крім того, цереброзидів містять жирні кислоти, серед яких найчастіше зустрічаються Лігноцеринова, нервоновая і цереб- РОНов кислоти, т. Е. Жирні кислоти, які мають 24 вуглецевих атома.
Формула будови цереброзидів має вигляд

Найбільш вивченими представниками церсброзідов є нервон, що містить нервоновую кислоту, цереброн, до складу якого входить цереброновая кислота, і керазину, що містить лігноцериновою кислоту.
Цереброзидів містяться головним чином в нервовій тканині, особливо в міе- Линове оболонці нервових волокон, зустрічаються в селезінці, легенях і інших органах.
При порушеннях обміну цереброзидів виникає хвороба Гоше (по імені французького лікаря Е. Гоше, описав хворобу в 1882 р), яка супроводжується накопиченням цереброзидів в клітинах ретикуло-ендотеліальної системи мозку. У хворих, які страждають на хворобу Гоше, 6-8% сухої маси печінки і селезінки становлять цереброзидів, що містять в якості залишку цукру глюкозу замість галактози.
Синтез цереброзидів здійснений в 1961 р на базі похідних сфінгозіно- вих підстав і ацетобромгексози.
При взаємодії сфингозина з олеїнової кислотою виходить церамід - первинний Сфінголіпіди, з якого утворюються три класи негліцеролових ліпідів (цереброзидів, фосфосфінголіпіди, гангліозиди).
Цереброзидів - це цераміди, до яких приєднаний моносахарид, наприклад галактоза. При цьому виникає гликозидная зв'язок між групою С-кисень цукру і атомом вуглецю - СН2ОН-групи сфингозина. Цереброзидів є членами великої групи, названої гліколіпідами (Див. Розд. 8.3). Цереброзидів виявляються у високих концентраціях в мозку і нервової тканини.
Глобозіди відрізняються від цереброзидів тим, що мають в своєму сотаве кілька вуглеводних залишків, пов'язаних цераміди:

Цереброзидів і глобозіди відносять до нейтральних Сфінголіпіди, так як вони не містять заряджених груп.
Фосфосфінголіпіди - це цераміди, у яких залишилася спиртова гідроксильна група етерифікування фосфатной похідною, наприклад фосфоріл- холін. Найбільш типовим серед них є сфингомиелин, який входить до складу більшості мембран.
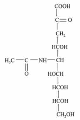
гангліозид - найбільш складні за складом ліпіди. Вони містять кілька вуглеводних залишків, серед яких присутній N-ацетілнейраміновой кислота.
У тканинах людини аминогруппа завжди ацетильованого (радикал ацетил СН3СО-), при цьому цукор перетворюється в N-ацетілнейраміновой (сіалова) кислоту. Сіалова кислота представляє особливий інтерес тим, що бере участь в інфікуванні клітин вірусом грипу.
11ейраміновая кислота - вуглевод, що складається з 9 атомів вуглецю і входить до групи сіалових кислот. При гідролізі ганглиозидов можна виявити вищу жирну кислоту, спирт сфингозин, D-глюкозу і D-галактозу. а також похідні аминосахаров: N-ацетил глюкози і н і N-ацетілнейраміновой кислоту.
Остання синтезується в організмі з глюкозаміну і має наступну формулу:

У структурному відношенні гангліозиди значною мірою схожі з цереб- розиди, з тією лише різницею, що замість одного залишку галактози вони містять складний олігосахарид.
Одним з найпростіших ганглиозидов є гематозід, виділений з еритроцитів:

Гангліозид містяться в основному в гангліозних клітинах нервової тканини, звідки вони і отримали свою назву. Однак гангліозиди знаходяться і в плазматичних мембранах багатьох клітин - еритроцитів, гепатоцитів, клітин селезінки та інших органів. Головна роль ганглиозидов визначається їх участю в здійсненні міжклітинних контактів. Деякі гангліозиди служать своєрідними детекторами бактеріальних токсинів - антигенів.
Гілочки олигосахаридов утворюють пухнастий покрив клітин, захищаючи їх від антигенів. Гангліозид визначають групи крові (О, А, В) у людини (див. Вище).
Гангліозид - це цераміди, у яких спиртова група пов'язана з коротким, як правило розгалуженим, олігосахариди. Вуглеводні частини ганглиозидов володіють антигенними властивостями і розрізняються кінцевими залишками в олігоса- харідних ланцюгах.
Зазвичай лінійна частина Сахарідний ланцюга містить пов'язані послідовно N-ацетілгалактозамін (GalNac), галактозу (Gal) і глюкозу (Glc).
Узагальнюючи, можна сказати, що до фосфоліпідів можна адресувати фосфорсодержащие ліпіди. При цьому, якщо в основі структур знаходиться гліцерин, їх називають фосфорогліцерідалш, а похідні сфингозина - сфінгоміеліна.
Функції гликосфинголипидов можна об'єднати в класи.
По взаємодії: між клітинами;
клітинами і міжклітинним матриксом; клітинами і мікробами.
За модуляції:
активності протеїнкіназ; активності рецептора фактора росту;
анти пролиферативного дії (апоптозу, клітинного циклу).
Щодо забезпечення:
структурної жорсткості мембран; конформації білків мембран.