Головна
Cоціологія || Гуманітарні науки || Мистецтво та мистецтвознавство || Історія || Медицина || Науки про Землю || Політологія || Право || Психологія || Навчальний процес || Філософія || Езотерика || Екологія || Економіка || Мови та мовознавство
ГоловнаМедицина → біохімія людини
««   ЗМІСТ   »»

КАТАБОЛІЗМ (РОЗЩЕПЛЕННЯ) НУКЛЕОТИДІВ І НУКЛЕЇНОВИХ КИСЛОТ

Мононуклеотиди постійно утворюються в клітці в результаті розщеплення нуклеїнових кислот, наявних в організмі, а також надходять з їжею (див. Рис. 9.1), т. Е. Протікає реакція гідролізу, зворотна реакції етерифікації:

Вільні нуклеотиди йдуть на синтез нових нуклеїнових кислот або піддаються подальшому розпаду.

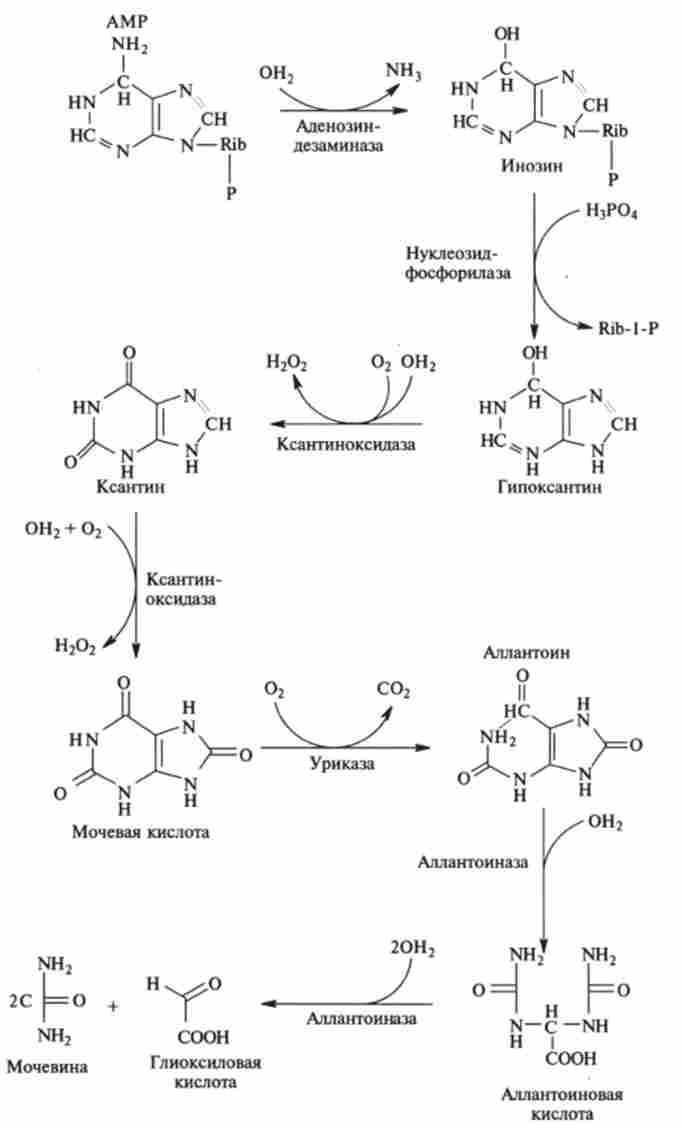
Розглянемо метаболічний шлях розпаду пуринових нуклеотидів на прикладі аденозину (рис. 9.20).

Перший етап розпаду - відщеплення фосфатної групи під дією ферменту нуклсотідази, в результаті чого з аденилат утворюється аденозин. Потім починається метаболічний шлях розпаду з семи послідовних реакцій.

В організмі людини, приматів, більшості тварин, птахів і деяких рептилій кінцевим продуктом пуринового обміну є сечова кислота, яка виводиться з організму з сечею.

5-7. У інших рептилій і деяких ссавців сечова кислота розщеплюється до аллантоина, а у риб - до аллантоіновой кислоти і сечовини.

На рис. 9.21 на прикладі цитидину наведено метаболічний шлях розпаду піримідинових нуклеотидів. Він являє собою послідовність з п'яти реакцій гідролізу. Кінцевими продуктами реакції розпаду піримідинових основ є СО2, NH3, сечовина, аланін, аміноізомасляная (карбамоіл- пропионовая) кислота.

Метаболічний шлях розпаду пуринових нуклеотидів на прикладі аденозину

Мал. 9.20. Метаболічний шлях розпаду пуринових нуклеотидів на прикладі аденозину

Метаболічний шлях розпаду піримідинових нуклеотидів на прикладі цитидину

Мал. 9.21. Метаболічний шлях розпаду піримідинових нуклеотидів на прикладі цитидину

Гідролітичні шлях розпаду пиримидинов - головний шлях освіти аланина. У тканинах тварин аланин піддається подальшому розпаду шляхом транс- амінування до піровиноградної кислоти під впливом каталізує реакцію специфічної амінотрансферази (див. Розд. 9.3).

  1. Клітина - найдрібніша структурна одиниця живої матерії - біохімія
    Всі відомі живі організми складаються з клітин і продуктів їх метаболізму. Це в 1838 р вперше довели М. Шлейден і Т. Шванн, які постулювали, що рослинні і тваринні організми побудовані з клітин, розташованих в певному порядку. Через 20 років Р. Вірхов буквально в декількох словах сформулював
  2. Клініка, діагностика та лікування хвороб пульпи зуба, пульпіти гострі, початковий пульпіт (гіперемія пульпи) - стоматологія. Ендодонтія
    Мети. Вивчити клініку, діагностику хвороб пульпи зуба. Дізнатися методи лікування пацієнтів з хворобами пульпи зуба, освоїти їх відповідно до показань. Гострими формами хвороб пульпи зуба є початковий, гострий і гнійний пульпіти (абсцес пульпи). Гострі форми пульпіту виникають переважно у
  3. Класи клітин - біохімія
    Мал. 1.3. Електронна м і крофотографія клітини Е. colt стрілкою показано розташування нуклсоіда, в якому міститься хромосома Існує два великі класи клітин, що відрізняються за будовою і функціями. Найбільш древніми і простими за будовою є прокариотичні клітини. Основні властивості, характерні
  4. Класифікації хвороб пульпи і періапікальних тканин зуба - стоматологія. Ендодонтія
    Міжнародна класифікація хвороб 10-го перегляду (МКБ-10, 1997) в Класі XI «Хвороби органів травлення» під шифром К00-К14 «Хвороби порожнини рота, слинних залоз і щелеп» надає наступну статистичну класифікацію. Міжнародна класифікація хвороб пульпи і періапікальних тканин зуба МКБ-10, 2016,
  5. Класифікація нейронів - нервова система: анатомія, фізіологія, Нейрофармакологія
    Нервові клітини можна класифікувати але особливостям будови (Анатомії). Нейрони розрізняються за розміром і формою, за кількістю, величиною і будовою відростків, а також способу їх відходження від соми. Тіла пірамідних нейронів в корі великих півкуль досягають в діаметрі 100-120 мкм (найбільші
  6. Класифікація гормонів, біологічні властивості гормонів - біохімія
    Є кілька варіантів класифікації гормонів, наприклад за місцем їх синтезу. Таким шляхом можна виділити гормони гіпоталамуса, гіпофіза, щитовидної залози, надниркових залоз, підшлункової залози, статевих залоз та ін. Такий поділ гормонів має ряд недоліків, так як деякі гормони можуть синтезуватися
  7. Кісти підшлункової залози - факультетська хірургія
    помилкові кісти підшлункової залози не мають епітеліальної вистилки, властивої істинним кіста, їх фіброзна оболонка покрита зсередини грануляційною тканиною різного ступеня зрілості, а вміст, як правило, являє собою залишки панкреонекрозу (при парапанкреатічної кістах - некротизированной
  8. Катетеризація сечового міхура у жінок, стерилізація катетерів - сестринська справа в хірургії
    Застосовують спеціальний жіночий катетер (короткий, довжиною до 15 см). Положення хворої на спині, із зігнутими в колінах і розсунутими ногами, між ніг мочеприймальник. Перед процедурою медсестра миє руки теплою водою з милом, а нігтьові фаланги протирає спиртом або настоянкою йоду. Жінок
© 2014-2022  ibib.ltd.ua