Головна
Cоціологія || Гуманітарні науки || Мистецтво та мистецтвознавство || Історія || Медицина || Науки про Землю || Політологія || Право || Психологія || Навчальний процес || Філософія || Езотерика || Екологія || Економіка || Мови та мовознавство
ГоловнаМедицина → Біохімія. Частина 2
««   ЗМІСТ   »»

КАТАБОЛІЗМ ПУРИНІВ

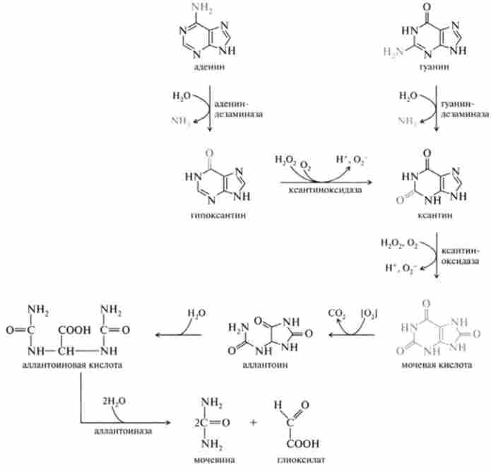
Ступінь деградації циклічною структури пуринів сильно варіює від виду до виду. У більшості приматів (в тому числі людини), птахів, деяких рептилій і багатьох комах головним виведеним з сечею продуктом катаболізму пуринів є сечова кислота, в якій кільцева система пуринів залишається інтактною; в той же час у всіх інших наземних тварин кінцевим продуктом є алантоїн, який утворюється в ході окислення (деціклізаціі) шестичленного гетероциклу. У амфібій і риб алантоїн далі розщеплюється до аллантоіновой кислоти. У багатьох мікроорганізмах аллантоіновая кислота перетворюється в гліоксілат і сечовину (рис. 26.1).

Важливим проміжним продуктом катаболізму пуринів служить ксантин. Після розщеплення УУ-гликозидной зв'язку гуанін перетворюється в ксантин в результаті одностадійної реакції, що каталізується гидролитичним ферментом гуанінлезаміназой. Розпад похідних аденіну протікає у ссавців і птахів через дезаминирование аденіну з подальшим перетворенням у вільний гипоксантин, який потім окислюється до ксантину під дією ксантіноксілази. Реакція окислення, катализируемая цим ферментом,

Схема розщеплення пуринових нуклеотидів супроводжується утворенням високотоксичного супероксид-радикала 0детоксікація якого відбувається за допомогою супероксиддисмутази

Мал. 26.1. Схема розщеплення пуринових нуклеотидів супроводжується утворенням високотоксичного супероксид-радикала 02 детоксикація якого відбувається за допомогою супероксиддисмутази.

Послідовність реакцій перетворення пуринів в процесі їх катаболізму за участю специфічних ферментів представлена на наступній схемі:

  1. Клініка, діагностика та лікування хвороб пульпи зуба, пульпіти гострі, початковий пульпіт (гіперемія пульпи) - стоматологія. Ендодонтія
    Мети. Вивчити клініку, діагностику хвороб пульпи зуба. Дізнатися методи лікування пацієнтів з хворобами пульпи зуба, освоїти їх відповідно до показань. Гострими формами хвороб пульпи зуба є початковий, гострий і гнійний пульпіти (абсцес пульпи). Гострі форми пульпіту виникають переважно у
  2. Клінічні прояви - факультетська хірургія
    Клінічний перебіг синдрому портальної гіпертензії залежить від його форми. При внутрипеченочном блоці клініка синдрому портальної гіпертензії багато в чому визначається цирозом печінки. В анамнезі часто відзначаються перенесений вірусний гепатит, пристрасть до вживання алкоголю, малярія, сифіліс,
  3. Класи імуноглобулінів, функції антитіл - біохімія частина 2.
    існує п'ять класів lg, що відрізняються один від одного константними ділянками важких ланцюгів. Першим lg, що синтезуються у відповідь на наявність антигену, є IgM. Він являє собою олігомер, що складається з п'яти субодиниць, кожна з яких містить чотири поліпептидні ланцюга з десятьма
  4. Класифікація вітамінів - фізіологія харчування
    На підставі властивостей вітамінів і характеру їх поширення в природних продуктах, а також в залежності від розчинності в воді і жирі вітаміни класифікують наступним чином (табл. 4.1). Таблиця 4.1 Класифікація вітамінів і вітаміноподібна речовин Більшість вітамінів мають виражений неспецифічний
  5. Класифікація мутацій - генетика
    Труднощі визначення поняття «мутація» найкраще ілюструє класифікація її типів. Існує кілька принципів такої класифікації: I. За характером зміни геному: 1. Геномні мутації - зміна числа хромосом. 2. Хромосомні мутації, або хромосомні перебудови, - зміна структури хромосом. 3. Генні мутації
  6. Класифікація білків. Окремі представники, фібрилярні білки - біохімія
    Білки можна класифікувати як по їх структурі, так і виконуваних різноманітним функціям. Функціональна розмаїтість було показано раніше, що стосується структурних відмінностей, то вони пов'язані з формою білкових молекул, а також з наявністю в їх складі небілкових компонентів. Мал. 3.15. Кристалічна
  7. Кислотно-основний гомеостаз людського організму в нормі та патології - біохімія людини
    Одним з дивних властивостей живих організмів є сталість pH біологічних рідин, тканин і органів. З даних табл. 8.6 видно, що pH різних рідин в організмі людини змінюється в досить широких межах залежно від їх місцезнаходження. Так, наприклад, pH сироватки крові 7,4, тоді як pH шлункового соку
  8. Катаболізм вуглеводів, перетворення вуглеводів в процесі травлення - біохімія
    Вуглеводи складають близько 60-70% від загальної суми калорій їжі людини, їх основна маса представлена полі- і олігосахариди. Вуглеводи їжі розщеплюються в травному тракті до моносахаридів, які всмоктуються через слизову оболонку кишечника в кров (рис. I8.1). Мал. 18.1. Растепленія вуглеводів
© 2014-2022  ibib.ltd.ua