Головна
Cоціологія || Гуманітарні науки || Мистецтво та мистецтвознавство || Історія || Медицина || Науки про Землю || Політологія || Право || Психологія || Навчальний процес || Філософія || Езотерика || Екологія || Економіка || Мови та мовознавство
ГоловнаМедицина → Біохімія. Частина 2
««   ЗМІСТ   »»

ДЕСТРУКЦІЯ НУКЛЕЇНОВИХ КИСЛОТ

Ферменти, що каталізують розпад нуклеїнових кислот, - нуклеази відомі давно і досить добре вивчені. Ферменти, що розщеплюють ДНК, називаються Дезоксирибонуклеаза (ДНК-ази), а тс, що гідролізують РНК, рибонуклеаза (РНК-ази). Розпад екзогенних нуклеїнових кислот в процесі травлення здійснюється в основному гидролитичним шляхом в тонкому кишечнику під дією ДНК-аз і РНК-аз, секретується підшлунковою залозою до оліго-, ди і мононуклеотидів. Повна деполимеризация нуклеїнових кислот до мононуклеотидів може завершуватися під дією інших ферментів тонкого кишечника, наприклад фосфоді і естераз.

Усередині кожної групи тканинних нуклеаз - рибо і Дезоксирибонуклеаза є ферменти, що відрізняються по специфічності дії на субстрат і функцій в клітці.

За специфічності дії розрізняють наступні нуклеази:

де Н - нуклеозид; Ф - фосфат:

Утворилися під дією нуклеаз нуклеотиди розщеплюються нук- лсотідазамі і нуклсозідазамі (табл. 26.1).

Таблиця 26.1. Ферментативне розщеплення нуклеїнових кислот

фермент

субстрат

реакція

кінцеві продукти

Нуклсаза

ДНК. РНК

ДНК "+ (л-1) Н20- * лНМФ

Нуклеозілмонофос-

фат (НМФ)

Полііуклеотід-

фосфорілаеа

ДНК. РНК

РНК, + Н, Р 04 -> РНК_ "+ ПДФ

Укорочена на один нуклеотид РНКЯ_, + ПДФ

3'або 5'-Нук- леотідаза

Нуклеозид монофосфат (НМФ)

НМФ + Н20-? Н + н3ро4

Нуклеозид (Н), орто- фосфорна кислота

Нукл зійшла за

Нуклеозид (Н)

Н + HjO-? АТ + Р

Азотистих основ (АО), рибоза (Р)

Нуклсозід- <|юсфорила за

Нуклеозид (Н)

Н + Н, Р 04-> АТ + Р-1 - Ф

Азотистих основ (АО), рибоза-1 - фосфат (Р-1-Ф)

З

Як видно з табл. 26.1, деградація ДНК і РНК здійснюється як під дією гідролітичних, так і фосфорілітічних нуклеаз. В даний час ці ферменти відкриті як в мікроорганізмах, так і в тварин тканинах.

Механізм дії фосфорілітічного розщеплення підлогу і нуклеотидної ланцюга зводиться до перенесення нуклеотидних залишків з РНК на неорганічний фосфат:

Вважають, що in vivo фермент каталізує розпад клітинних РНК до нуклсозіддіфосфатов, беручи участь тим самим у регуляції концентрації клітинного неорганічного фосфату.

Функції різних типів РНК-аз та ДНК-аз в клітці різноманітні. Так, панкреатична рибонуклеаза (РНК-аза I) володіє екзо і ендонуклеазним дією і каталізує деградацію всіх типів РНК. Разом з тим відомі високоспецифічні тканинні РНК-ази, що розщеплюють фосфодіефірную зв'язок в області строго визначених нуклеотиднихпослідовностей і беруть участь в дозріванні первинних транскриптів рибосомних і транспортних РНК.

Що стосується групи ДНК-аз, то, наприклад, ДНК-аза I, виділена з клітин підшлункової залози, розщеплює одну з ланцюгів ДНК з утворенням олігодезоксирибонуклеотидів, що мають фосфорильної групу на 5'-кінці ДНК. ДНК-аза II, що міститься в тимусі і селезінці, гидролизует 3'-5'-фосфодіефірнис зв'язку в обох ланцюгах ДНК таким чином, що утворюються З'-фосфоолігонуклсотіди.

Рестріктази - ферменти ДНК-азного типу дії, каталізують деполимеризацию ДНК в суворо визначених ділянках молекули. Рестріктази мають високу специфічність дії щодо азотистих основ, розташованих поруч з розщеплюваного зв'язком. Вони використовуються для розшифровки послідовності нуклеотидних залишків в ДНК фагів і вірусів, а також знаходять широке застосування в генетичної інженерії для отримання рекомбінантних ДНК (гл. 31).

Відносно подальшої долі мононуклеотидів в кишечнику існує два припущення. По-перше, мононуклеотиди розщеплюються під дією неспецифічних фосфатаз (кислої і лужної), які гідролізують фосфоефірную зв'язок ( «нуклеотідазное» дію) з утворенням нукле- озідов і фосфорної кислоти, і в такому вигляді всмоктуються. Друге припущення полягає в тому, що мононуклеотиди всмоктуються і розпад їх здійснюється в клітинах слизової оболонки кишечника. Є також докази існування в стінці кишечника нуклсотідаз, які каталізують гідролітичні розпад мононуклеотидів. Подальший розпад утворилися нуклеозидов здійснюється всередині клітин слизової переважно фосфорілітічним, а не гидролитичним шляхом.

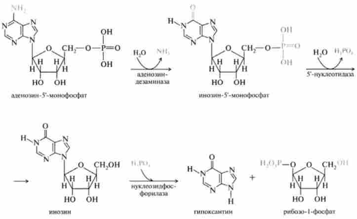
В результаті дії внутрішньоклітинних ендо- та екзонуклеаза нуклеїнові кислоти розщеплюються до мононуклеотидів, які під дією 3'або 5'-нуклсотідаз гидролитично розпадаються до нуклеозиду і ортофосфорної кислоти. Відомо, що АМФ в тварин тканинах попередньо дезамінується і перетворюється в инозин-5-мо нофосфат (ІМФ).

Утворилися нуклеозиди в тварин тканинах найчастіше деградують фосфорілітічно шляхом перенесення залишку рибози на вільну фосфорну кислоту з утворенням рибоза-1-фосфату і азотистого підстави пуринового або піримідинового ряду.

Послідовність реакцій розпаду нуклеотидів пуринового ряду на прикладі деградації аденозин-5'-монофосфату представлена на наступній схемі:

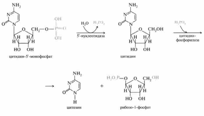
Послідовність ферментативних перетворень піримідинових нуклеотидів приведена на прикладі розпаду цітідін-5-монофосфату:

  1. Догляд за хворими з хірургічною патологією серця і великих судин, основні патологічні симптоми - сестринська справа в хірургії
    Основні питання глави 1. Поняття про основні патологічних симптомах при захворюваннях органів кровообігу (болі в області серця, задишка, набряки і т. Д.). 2. Догляд за хворим після операцій па серце (створення зручного положення в ліжку, годування хворих, контроль артеріального тиску (АТ),
  2. Догляд за хворими з хірургічними захворюваннями жовчовивідних шляхів, визначення та основні поняття, етіологія і епідеміологія - сестринська справа в хірургії
    Основні питання глави 1. Поняття про захворювання жовчовивідних шляхів. 2. Епідеміологія, етіологія і патофізіологія жовчнокам'яної хвороби. 3. Клініка і лікування жовчнокам'яної хвороби. 4. Сестринська допомога хворому з холелітіазом. 5. Перед-і післяопераційний догляд за хворими жовчнокам'яної
  3. Догляд за хірургічними хворими після операцій на легенях - сестринська справа в хірургії
    Основні питання глави 1. Поняття про основні патологічних симптомах при захворюваннях органів дихання: задишка, задуха, кашель, кровохаркання, легенева кровотеча, болі в грудній клітці, лихоманка. 2. Спостереження за диханням, підрахунок числа дихальних рухів. Надання хворому зручного положення
  4. Доброякісні пухлини молочної залози - факультетська хірургія
    Доброякісні пухлини молочної залози за своїм морфогенезу діляться на дві групи: пухлини неепітеліального походження; пухлини епітеліального походження. До першої групи належать ліпоми, фіброми, ангіоми і т. Д. Ці освіти ідентичні по своїй діагностиці та клінічному підходу родинним пухлин інших
  5. Дія харчових добавок на організм людини - фізіологія харчування
    Сьогодні харчова промисловість, бажаючи завоювати лояльність покупців, для підвищення якості харчових продуктів, розширення асортименту, подовження терміну придатності, поліпшення консистенції, смаку, аромату та інших показників якості продукції використовує харчові добавки. Під харчовими
  6. Дихання і його вікові особливості, будова і функції дихальної системи - вікова фізіологія і психофізіологія
    В результаті вивчення даного розділу студент повинен: знати будову і функції дихальної системи; механізм дихальних рухів, основні етапи та показники функції зовнішнього дихання, типи дихання; поняття «життєва ємкість легень» і його характеристики; вікові особливості реалізації функції дихання;
  7. Диференційно-діагностичні ознаки гострого апікального періодонтиту - стоматологія. Ендодонтія
    Диференціальну діагностику гострого апікального періодонтиту проводять з періапікальних абсцесом без порожнини, гострим і гострим гнійним (пульпарного абсцес) пульпіту, гострим гайморитом і гострим одонтогенних остеомієліт. Загальним симптомом для цих хвороб є гострий біль в щелепно-лицевої
  8. Девітальна пульпотомія і пульпектомія - стоматологія. Ендодонтія
    Девітальной пульпотомія і пульектомія передбачають попередній некроз пульпи зуба, що робить її нечутливою і не кровоточить. Для некрозу використовують миш'яковисті або гтараформаль- дегідную пасту. Препарат, що містить миш'як, вносять в однокореневих зуб на 24 год, в багатокореневих - на 48
© 2014-2022  ibib.ltd.ua