| Головна |
| «« | ЗМІСТ | »» |
|---|
Тимус відноситься до лімфоїдним органам, однак для нього характерні і ендокринні функції. Тимус складається з декількох часточок, кожна з яких утворена епітеліальними клітинами. Ці клітини синтезують і сскрс- тируют ряд пептидних гормонів, таких, як тімулін, а, - і (34-тимозин, тимопоетин I і тимопоетин II. Останній містить пентапептид, що займає 32-36 становище, якщо рахувати з N-кінця, і є активним сайтом даного гормону. Цей поліпептид був отриманий методом хімічного синтезу і став основою лікарського препарату ТР-5. Гормони тимуса впливають на диференціювання Т-клітин, а також стимулюють неспецифічну імунний захист організму. Деякі з цих гормонів застосовують в якості лікарських засобів. Так, тимозин з успіхом використовують при атаксії і синдромі Віскотта-Олдріча.
термін простагландини належить X. Ейлера, який вперше в 1932 р виділив ці біологічно активні речовини з секрету передміхурової залози (Prostate). Надалі з'ясувалося, що дані речовини локалізовані майже у всіх тканинах і органах, проте термін «простагландини» в літературі і спілкуванні зберігся.
Простагландини - похідні незамінних З ^ -жірних кислот, що містять Циклопентанова кільце. Основними групами простагландинів (ПГ) є: ПГ-А, ПГ-В, ПГ-Е, ПГ-F. Усередині кожної групи є підгрупи, що розрізняються числом подвійних зв'язків в бічних ланцюгах молекули і позначаються цифрами. Крім того, різна орієнтація гидроксилов і циклопентанового кільця позначається після цифр індексами а чи р. У 1957 р вперше були отримані в кристалічному стані ПГ-Е, і ПГ-FIa. Нижче представлена структура простагландинів:
Біосинтез. Як уже зазначалося, попередниками простагландинів є ненасичені жирні кислоти, зокрема арахідонова кислота. Перетворення жирних кислот в простагландини відбувається в ЕПР клітин різних тканин і органів. З фосфогліцерінов під дією фосфоліпази А2 звільняється арахідонової кислоти, яка в залежності від типу ферментативних реакцій може перетворюватися або в простагландини, або в лейкотрієни:

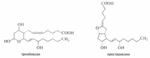
Ендоперекісь є загальним попередником для простагландинів. У стінках судин з ендоперекісей утворюються простагландини, а в тромбоцитах - тромбоксани:
Метаболізм. Простагландини легко метаболізують в організмі. Встановлено, що їх перетворення включають в себе наступні реакції.
Біохімічні функції. Простагландини діють по мембраноопосредованному механізму і індукують утворення цАМФ переважно в жирових клітинах, тромбоцитах або надниркових. Встановлено, що ПГ Е розслабляє м'язові волокна в бронхах, а ПГ-F, навпаки, стимулює їх скорочення. Простагландини впливають на гіпофіз, сприяючи секреції ряду гіпофізарних гормонів, таких, як Л Г, СТГ, ТТГ і А КТ Г. Можливо, цей феномен обумовлений індукцією синтезу цАМФ простаглан динамічних і наступною активацією механізмів секреції.
Простагландіни мають виражений вплив на наднирники. Так, парантерально введення ПГ Е призводить до підвищення вмісту корті- костерона в крові і надниркових. Одночасно в цих же тканинах знижується вміст холестерину і аскорбінової кислоти. В даному випадку має місце як прямий ефект дії ПГ Е на наднирники, так і опосередкований вплив через гіпоталамус і гіпофіз.
Простагландини здатні імітувати ТТГ при впливі на щитовидну залозу. Це стосується в основному ПГ-Е, який стимулює зв'язування йоду з білком, а також окислення глюкози. Крім того, під дією ТТГ відбувається активація фосфоліпази А2 і звільнення арахідонової кислоти - попередника простагландинів.
Простагландини впливають на скоротливу активність матки. Ця особливість стала підставою для створення на їх основі препаратів, що стимулюють родову діяльність.
Велике значення для реалізації фармакологічного ефекту має вплив простагландинів на транспорт Са2+, а отже, на активність багатьох Са2+-залежних ферментів.