| Головна |
| «« | ЗМІСТ | »» |
|---|
В основі зображення будови молекул лежать формули будови (структурні). Ступінь подробиці залежить від контексту, в якому використовується формула. При цьому повинна зберігатися функція наочності. Допускається можливість суміщення різних ступенів подробиці при зображенні однієї і тієї ж Біоорган і чес кой макромолекули.
Наприклад, детальна формула молекули октанове кислоти має вигляд

Більш короткий запис тієї ж молекули:

Коротка запис молекули октанове кислоти з виділеної функціональної (карбоксильної) групою:

У всіх розглянутих формах записи виділяється кислотна (функціональна) група - СООН, яка визначає характерне властивість речовин даного класу - кислотність.
Таблиця 2.5
Функціональні групи біоорганічних речовин
|
Функціональнаяiруіна |
будова |
Семейпво |
|
гідроксильна |
|
спирти |
|
альдегідна |
|
альдегіди |
|
карбонільна |
|
кетони |
|
карбоксильная |
|
кислоти |
|
аміногрупа |
|
аміни |
|
Амідогруппа |
|
аміди |
|
сульфгідрильна |
|
Меркаптани |
|
складноефірний |
|
складні ефіри |
|
ефірна |
|
прості ефіри |
Аналогічним чином при запису хімічних речовин, навіть дуже складних, виділяють ті функціональні групи, які беруть участь в даній реакції. Такий запис підкреслює важливе правило: функціональні групи виявляють свої типові (функціональні) властивості незалежно від того, в якій молекулі вони знаходяться. У табл. 2.5 наведені найбільш важливі функціональні групи біоорганічних речовин.
Речовини з однаковою функціональною групою і розрізняються довжиною вуглеводневого радикала R називаються гомологами. Гомологія - це явище існування речовин, що мають однакову будову і відрізняються на групу - СН2-. Речовини-гомологи утворюють гомологічні ряди. Прикладом такого ряду можуть служити спирти (див. Табл. 2.3): метанол СНЗ-ОН - етанол СН3-СН2-ОН - пропанол СН3-(СН2) 2-ОН - бутанол СН3-(СН2)3-ВІН.
Гомологи характеризуються близькими хімічними, але різними біологічними властивостями.
Спирт етанол - слабка кислота, горючий, летючий, добре розчинний у воді. Фізіологічна дія: впливає на центральну нервову систему (в малих кількостях викликає збудження, у великих - придушення обмінних процесів і пригнічення нервових імпульсів).
Спирт метанол - сильніша кислота, горючий, летючий, добре розчинний у воді. Фізіологічна дія: атрофує нервову систему (отрута, в малих кількостях призводить до сліпоти, у великих - до смерті).
Можлива заміна назв конкретних функціональних груп або молекулярних структур на буквені позначення відповідно до номенклатурними правилами. Наприклад, амінокислота аланін (амінобутановая)

записується як Ala (від латинського написання «alanin»).
У порівнянні з органічною хімією в біохімії використовують більш абстрактне зображення молекул, що пов'язано зі складністю структури біогенних речовин. Наприклад, спирт деканол

зображують у вигляді

де звивиста лінія позначає вуглеводневий радикал R.
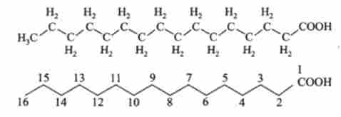
Молекулу жирної пальмітинової кислоти З | 5Н31СООН також можна уявити в різних видах:

або
