Головна
Cоціологія || Гуманітарні науки || Мистецтво та мистецтвознавство || Історія || Медицина || Науки про Землю || Політологія || Право || Психологія || Навчальний процес || Філософія || Езотерика || Екологія || Економіка || Мови та мовознавство
ГоловнаМедицина → біохімія
««   ЗМІСТ   »»

ГЕЛЬ-ФІЛЬТРАЦІЯ

Гель-фільтрація відноситься до найважливіших методів, що застосовуються для очищення ферментів та інших білків. Найчастіше вона використовується на завершальних етапах технологічних схем виділення і очищення.

Основні принципи методу прості. Гель складається з відкритої поперечно-зшитої полімерної структури, сформованої у вигляді кульок (гранул). Пори всередині гранул мають такі розміри, що деякі з них недоступні для великих молекул, тоді як більш дрібні молекули можуть проникати в усі пори. Недоступність пір обумовлена тим, що вони або занадто вузькі для молекул, або, якщо навіть досить широкі, не мають каналів, що виходять на поверхню гранул. В даний час прийнято вважати оптимальними такі умови потоку, при яких всі доступні пори заповнені молекулами проходить по колонці білка. Таким чином, тут діють рівноважні, а не кінетичні чинники.

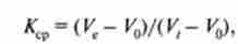
Поведінка молекул в колонці при гель-фільтрації може бути описано декількома способами. Його можна виразити таким рівнянням:

де Доср - коефіцієнт, що визначає частку часу, які може займати ця молекула; Уе - обсяг елюції розглянутої молекули; Vf- загальний обсяг колонки; VQ - вільний об'єм (між гранулами гелю).

  1. Гіпоталамус - нейрофізіологія
    Гіпоталамус є досить давнім структурою, тому у всіх наземних хребетних його будова приблизно однаково. Чітких кордонів він не має. Є центральним відділом проміжного мозку. У гіпоталамусі розрізняють три зони (рис. 11.4): перивентрикулярна (тонка смужка, прилегла до третього шлуночка), медіальну
  2. Гіпоталамус - анатомія центральної нервової системи
    гіпоталамус - подбугорная область проміжного мозку, вищий центр регуляції вегетативних і ендокринних функцій (рис. 8.3). Він об'єднує ряд структур, що оточують нижню частину III мозкового шлуночка - сірий бугор, маміллярних (сосковидні) тіла, зорову хиазму. Сірий горб - це непарний порожнистий
  3. Гіпофіз - вікова фізіологія і психофізіологія
    Головна залоза внутрішньої секреції. Розташований в поглибленні основи черепа - турецькому сідлі (Див. Рис. 3.1). У дорослої людини гіпофіз важить приблизно 0,5 м Розрізняють передню, проміжну і задню долі гіпофіза (іноді виділяють Туберальна частку). Передня і проміжна частки складають
  4. Гіпертонічна хвороба (ГХ) - сестринський догляд в фізіотерапевтичної практиці
    Значне місце в відновлювальної терапії ГБ мають фізичні фактори. Їх дія повинна бути спрямована на: 1) поліпшення кровообігу, метаболізму і функціонального стану центральної нервової системи; 2) поліпшення гемодинаміки, зниження підвищеного тонусу судин і гіперфункції міокарда; 3) поліпшення
  5. Гепатоцелюлярні карциноми - факультетська хірургія
    Гепатоцеллюлярная карцинома (ГЦК) - злоякісна пухлина, яка розвивається з гепатоцитів, частіше на тлі хронічних захворювань печінки і цирозу. ГЦК займає 5-7-е місце в структурі онкологічних захворювань в світі і знаходиться в трійці провідних причин смертності від раку. Щорічно реєструється
  6. Генетика та інші біологічні науки - генетика в 2 Ч. Частина 1
    Методи і принципи генетики знаходять застосування у всій системі біологічних наук. Дискретність генів відображає дискретність кодованих ними макромолекул - білків і рибонуклеїнових кислот. Саме з цієї причини генетика поряд з біохімією стала основою молекулярної біології. Сучасна так звана
  7. Генетичний контроль мейозу - генетика в 2 Ч. Частина 1
    Різні стадії мейозу - два послідовних розподілу - і поведінку хромосом знаходяться під генетичним контролем. Про це свідчить неоднакове протікання мейозу у різних статей, що характерно, наприклад, для роду Drosophila. У самців цих мух відсутня щільна коньюгація хромосом, не утворюються сінаптонемний
  8. Генерація вільних радикалів - біохімія
    Близько 90% всього споживаного кисню відновлюється цітохро- моксідазним ферментом дихального ланцюга мітохондрій за рівнянням Четирсхелектроннос відновлення кисню цитохромоксидазой призводить до утворення води. Однак вільне окислення, як і можливий витік електронів з проміжних переносників
© 2014-2022  ibib.ltd.ua