Головна
Cоціологія || Гуманітарні науки || Мистецтво та мистецтвознавство || Історія || Медицина || Науки про Землю || Політологія || Право || Психологія || Навчальний процес || Філософія || Езотерика || Екологія || Економіка || Мови та мовознавство
ГоловнаМедицина → біохімія
««   ЗМІСТ   »»

ФОСФОЛІПІДИ

Загальна ознака всіх фосфоліпідів - наявність в їх складі фосфорної кислоти. Залежно від спиртового компонента вони діляться на гліцерофос- фоліпіди і сфінгофосфоліпіди.

Гліцерофосфоліпіди

Загальним структурним фрагментом всіх гліцерофосфоліпідів є фосфатидними кислота (1,2-ДІАЦ, 3-фосфогліцерол):

Фосфатидними кислота утворюється в організмі в процесі біосинтезу три- ацілгліцероли і гліцерофосфоліпідів як загальний проміжний метаболіт; в тканинах вона присутня в незначних кількостях. Слід зазначити, що всі природні гліцерофосфоліпіди відносяться до L-ряду. різні гліцерофосфоліпіди відрізняються один від одного додатковими угрупованнями, приєднаними фосфоефірную зв'язком до фосфатидного кислоти. Склад жирних кислот різних гліцерофосфоліпідів різниться навіть у межах одного організму і поряд з заміщають угрупованнями визначає специфічність фосфоліпідів:

Назва

гліцеро-

фосфолипида

НО-R

Назва

будова

містять азот

Фосфатиди мул етанол - амін (ксфалін)

етаноламін

Фосфатиди мул хол і н (лецитин)

холін

Фосфатиди мул сери н

Серін

Чи не містять азот

Фосфатиди мул гл і нерол

гліцерин

кардіоліпін

Фосфаті- діл гліцерин

Фосфатиди мул і нозітол

інозітол

Основні представники гліцсрофосфоліпідов, що відрізняються групою HO-R, наведені в табл. 21.2.

Таким чином, молекули фосфоліпідів мають гідрофобну частину, утворену радикалами жирних кислот, і гідрофільну - залишки фосфорної кислоти, амінокислот, аміноспіртов. Гліцерофосфоліпіди широко поширені в організмі тварин. Нижче наведені характеристика структур, функцій і поширення в природі основних гліцерофосфоліпідів.

Фосфатидилхолін (лецитин). У своєму складі містить аміноспирт холін (гідроксид 3-гідроксіетілтрімстіламмонія):

Залежно від того, з яким атомом вуглецю гліцерину пов'язана фосфорна кислота (а - в крайньому положенні, Р - в серединному), розрізняють два типи фосфатидилхолін (а і Р).

Фосфатидилхолін широко поширені в клітинах, особливо мозкової тканини людини і тварин; в рослинах вони зустрічаються в соєвих бобах, насінні соняшнику, зародках пшениці. В бактеріях їх зміст вкрай невелика.

Фосфатидил етаноламін (Кефалінія). До складу фосфатидил етанол ам і новий

?

замість холіну входить азотистих основ етаноламін НО-СН2-СН2-NH3.

В організмі тварин і в вищих рослинах в найбільшій кількості зустрічаються фосфатиди мул холіни і фосфатидилетаноламін. Ці дві групи гліцерофосфоліпідів є головними ліпідними компонентами мембран клітин.

Лізофосфатіділхоліна і лізофосфатіділетаноламін. Утворюються при гідролізі в фосфатидил хол і не чи фосфатіділетаноламін складноефірного зв'язку в положенні 2 при дії специфічного ферменту - фосфоліпази А2, особливо активного, наприклад, в зміїному отруті:

Утворені лізофосфоліпіди володіють сильним гемолітичним дією.

Фосфатидилсерин. У молекулі фосфатидилсерина полярної групою є залишок амінокислоти серину:

Фосфатидилсерин поширені менш широко, ніж фосфатіділхо- Ліни і фосфатидилетаноламін. Метаболічно все три групи фосфоліпідів пов'язані між собою. Значення фосфатидилсерина визначається тим, що він є попередником в синтезі двох інших груп.

Крім того, були виділені фосфоліпіди, що містять замість амінокислоти серину залишок амінокислоти треоніну.

Плазмалогени. Відомі також гліцерофосфоліпіди, які на відміну від наведених вище - фосфатидилетаноламін, фосфатидилхоліну, фосфатидилсерина - відрізняються тим, що замість залишку кислоти при атомі вуглецю С, вони містять а, P-ненасичений спирт, який утворює просту ефірну зв'язок з гідроксильною групою гліцсрола.

При гідролізі цієї ефірної зв'язку утворюється альдегід відповідного спирту. Звідси назва групи - фосфатідалі: фосфатідальетаноламін, фосфатідальхолін, фосфатідальсерін. Використання терміну плазмалогени для позначення речовин цієї групи фосфоліпідів обумовлено тим, що альдегід жирної кислоти називається Плазмаліт.

Для прикладу наведена формула представника плазмалогенов - фосфа- тідальетаноламіна:

На частку плазмалогенов доводиться до 10% фосфоліпідів мозку і м'язової тканини. Вони виявлені також в еритроцитах, тканинах деяких безхребетних (до 25%), входять до складу бактеріальних мембран, але практично не зустрічаються в рослинах.

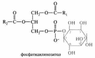
Фосфатидилинозитол. На відміну від інших груп гліперофосфоліпідов до складу фосфатидилинозитол а замість азотовмісних сполук входить шестіуглеродний циклічний спирт інозитол, представлений одним з його стсреоізомеров - моноінозітолом.

Фосфатидилинозитол входить до складу клітинних мембран тварин, вищих рослин, різних мікроорганізмів, особливо високо його вміст в мієлінових оболонках нервових волокон. Важливе значення мають фосфорі- лірованнис похідні фосфатидил і нозітолов, наприклад фосфатіділ- инозитол-4,5-дифосфат, який під дією фосфоліпази С гідролізується до моноінозітол-1,4,5-трифосфату і діацілгліцерола, що грають роль вторинних посередників в Са2+-залежному дії ряду гормонів (гл. 13).

Фосфатіділгліцерол. Так само як фосфатидил инозитол, фосфотіділ- гліцерин не містить азотовмісного з'єднання. У цих фосфолипидах полярної групою служить ще одна молекула гліцерину.

Фосфатиди мул глині роли і їх амінокислотні похідні (наприклад, L-лізілфосфатіділгліцерол) в значній кількості містяться в бактеріальних мембранах, а також хлоропластах рослин.

Кардіоліпін. Цей фосфолипид можна розглядати як похідне фосфатілілгліцерола, в якому 3-гідроксигрупа другого залишку молекули гліцерину етсрефіцірована молекулою фосфатидного кислоти.

Кардіоліпін вперше був виділений з тканини серцевого м'яза. Встановлено, що він локалізований майже виключно в мітохондріях і грає важливу роль в структурній організації і функціонування дихальних комплексів. Кардіоліпін є також обов'язковим компонентом бактеріальних клітинних мембран і хлоропластів рослин.

У складі цих з'єднань гліцерину немає. Вони є похідними складного ненасиченого дігідроксіаміноспірта - сфингозина або його насиченого аналога - дігідросфінгозіна.

При ацилированием H2N-rpynribi сфингозина жирними кислотами утворюється з'єднання - церамід, фосфохоліновос похідне якого називається сфінгоміеліна. Сфінгомієліни є найбільш поширеними Сфинголипидами, знаходяться в мембранах тваринних і рослинних клітин. Особливо багата ними нервова тканина; сфінгомієліни виявлені також в тканини нирок, печінки та інших органів, входять до складу ліпідів крові.

  1. Гель-фільтрація - біохімія
    Гель-фільтрація відноситься до найважливіших методів, що застосовуються для очищення ферментів та інших білків. Найчастіше вона використовується на завершальних етапах технологічних схем виділення і очищення. Основні принципи методу прості. Гель складається з відкритої поперечно-зшитої полімерної
  2. Гаструляція - біологія. Частина 1
    Сутність стадії гаструляції полягає в тому, що одношаровий зародок - бластула - перетворюється в багатошаровий - дво- або тришаровий, званий гаструлою (Від грец. гастер - шлунок в зменшувально сенсі). У примітивних хордових, наприклад у ланцетника, однорідна одношарова бластодерма під час
  3. Гальванізація. Лікарський електрофорез - стоматологія. Ендодонтія
    гальванізація - використання безперервного електричного струму низької напруги (30-80 В) і невеликої сили (до 50 мА) для лікувальних цілей. Організм на 60 -70% складається з води і являє собою електроліт, який має іонізовані молекули. При електрофорезі, проходженні постійного електричного
  4. Функції центральних і периферичних ендокринних залоз, гормони гіпоталамуса і гіпофіза - нейрофізіологія
    В результаті вивчення даного розділу студент повинен: знати нейрогормони гіпоталамуса і їх функції; гормони нейро- і аденогіпофіза і їх функції; гормони периферичних залоз внутрішньої секреції і їх функції; вміти називати причини деяких ендокринних захворювань людини; володіти ключовими поняттями:
  5. Функції плаценти - кровообіг, дихання, видільні процеси, розмноження, лактація, обмін речовин
    Плацента - складний за своїми функціями орган, через який здійснюються харчування і газообмін плода, виділення продуктів метаболізму, формування його гормонального і імунного статусу. Плацента виконує не тільки транспортні функції, а й сама синтезує необхідні для плода поживні і біологічно
  6. Функції крові - вікова анатомія і фізіологія. Т.2 опорно-рухова і вісцеральні системи
    Кількість крові у дорослої людини становить 5-6 л (50 мл / 1 кг маси тіла) - 8,5% загальної маси тіла. У новонародженого кількість крові відносно маси його тіла більше, чому дорослого (107-195 мл / кг або 10-15%). У дітей першого року життя відносний обсяг крові зменшується до 75-110 мл /
  7. Функціональні системи - вікова анатомія і фізіологія
    Організм людини здавна розглядався як сукупність різних органів, регульованих нервової і гуморальної системами. Однак системи органів працюють не ізольовано, а об'єднуються для досягнення результату, корисного для організму в той чи інший період. Наприклад, швидкий біг забезпечується функціональною
  8. Фотоактивоване глибоке фторування тканин зуба після ендодонтичного лікування - стоматологія. Ендодонтія
    Препарування і ендодонтичне лікування з іригації каналів агресивними реагентами, які проходять через порожнину зуба і каріозну порожнину, послаблюють тверді тканини зуба, роблячи їх тендітними. Зміцнити, підвищити міцність, додатково забезпечити дезінфекцію може глибоке фторування дентину
© 2014-2022  ibib.ltd.ua