Головна
Cоціологія || Гуманітарні науки || Мистецтво та мистецтвознавство || Історія || Медицина || Науки про Землю || Політологія || Право || Психологія || Навчальний процес || Філософія || Езотерика || Екологія || Економіка || Мови та мовознавство
ГоловнаМедицина → Біохімія. Частина 2
««   ЗМІСТ   »»

БІОСИНТЕЗ НЕЗАМІННИХ АМІНОКИСЛОТ

Як зазначалося раніше, незамінні амінокислоти не синтезуються в організмі людини і тварин, їх необхідно включати до складу їжі для забезпечення оптимального росту і для підтримки азотистого балансу. Для людини є незамінними наступні амінокислоти: лейцин, ізолейцин, валін, лізин, метіонін, фенілаланін, триптофан, треонін, гістидин і аргінін. Вісім з перерахованих амінокислот виявилися незамінними для багатьох вивчених видів вищих тварин. Що ж стосується гистидина і аргініну, то ці амінокислоти можуть синтезуватися в організмі, але в кількості, що не забезпечує оптимального росту і розвитку. Інша працювати з усіма іншими незамінними амінокислотами, так як організм зовсім втратив в ході еволюції здатність синтезувати їх вуглецеві ланцюги, т. Е. «Незамінним» у незамінних амінокислот є їх вуглецевий скелет. Вищі рослини і більшість мікроорганізмів здатні до активного синтезу цих амінокислот. Шляхи їх біосинтезу у різних видів організмів ідентичні або близькі і набагато складніше, ніж шляхи освіти замінних амінокислот. У багатьох з цих реакцій беруть участь такі посередники, як тетрагидрофолієвая кислота (ТГФ), переносник одноуглеродних фрагментів (СН3, - СН2, - СНТ, -CHNH, - СН =) і З'-адено- зілметіонін - головний донор метильних груп в реакціях трансметилирования.

S'-аденозил метіонін утворюється в процесі АТФ-залежної реакції з метіоніну:

У ^ -аденозілметіоніне метильная група метіоніну активується під дією позитивно зарядженого сусіднього атома сірки, тому її реакційна здатність значно вище, ніж у УУ5-метілтетрагідрофолата (7У5-метил ТГФ).

Для прикладу розглянемо біосинтез метіоніну, треоніну і лізину, які відносяться до так званого биосинтетичної сімейства аспартату, т. е. в синтезі всіх трьох амінокислот в якості одного з попередників виступає аспартат.

Метіонін і треонін синтезуються з аспартату за участю АТФ, НАДФН - Н+ і ряду ферментів, серед яких є пірідоксальфосфатзаві- сімие, а також ферменти, що містять в якості простетичної групи відновлене похідне кобаламина (вітамін В12). Мстільную групу при біосинтезі метіоніну поставляє М5-метілтетрагідрофолат. Перші етапи біосинтезу цих амінокислот до освіти гомосеріна протікають однаково, потім відбувається розгалуження шляхів:

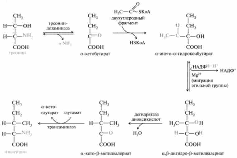
Синтез изолейцина з треоніну на першому етапі каталізує фермент треоніндезаміназа, що перетворює треонин в а-кетобутірат:

Останнє підключення конденсується з двухуглеродний фрагментом, в результаті чого утворюється а-ацето-а-гидроксибутират - ключовий проміжний продукт у синтезі изолейцина. Синтез изолейцина включає п'ять стадій, останнім заключним етапом є реакція трансамінірова- ня з глутамат.

Лізин у бактерій і вищих рослин синтезується в результаті конденсації аспартату з пируватом через діамінопімсліновую кислоту:

У цвілевих грибів лізин утворюється з а-кстоглутарата і ацстіл-КоА через а-аміноадіпіновую кислоту.

Синтез ароматичних амінокислот фенілаланіну, тирозину і триптофану також йде по загальному шляху. Попередниками цих амінокислот є фосфосноілпіруват (проміжний метаболіт гліколізу) і еритро- зо-4-фосфат (проміжний метаболіт пснтозофосфатного шляху). Процес починається з їх конденсації і освіти семіуглеродного цукру, який потім ціклізуется з утворенням 5-дегідрохінной кислоти. Подальші перетворення останньої призводять до утворення шікімовой, а потім хо різмовой кислот, на стадії якої відбувається розгалуження шляхів синтезу природних амінокислот з триптофаном:

Слід зазначити, що назнавств на схемі шлях синтезу тирозину як незамінної амінокислоти виявлено у мікроорганізмів і рослин, в організмі людини і багатьох видів вищих тварин, як зазначалося вище, він синтезується шляхомгідроксилювання фенілаланіну.

Синтез амінокислот з розгалуженим ланцюгом (валін і лейцину), так само як і синтез гетероцикличної амінокислоти - гистидина, представляє складні багатоступінчасті процеси синтезу а-кетокислот, амінірованіе здійснюється, як правило, амідних азотом глутаміну або а-аміногруп- співай глутамінової кислоти.

Кілька спрощує ситуацію те, що всі 20 амінокислот, як замінні, так і незамінні, можуть бути поділені всього лише на шість биосинтетичних сімейств (рис. 24.15).

Біосинтетичні сімейства амінокислот (по Л. Страйеру)

Мал. 24.15. Біосинтетичні сімейства амінокислот (по Л. Страйеру): виділені кольором метаболічні попередники; незамінні амінокислоти відзначені зірочками

Стає зрозумілим, чому харчова потреба в незамінних амінокислотах залежить від ряду умов, в тому числі від наявності або відсутності в їжі метаболічно близьких сполук. Так, наприклад, зниження потреби в тирозин зменшує кількість потрібного фенілаланіну, а глутамінова кислота подібним же чином може «заміщати» аргінін. Потреба в метіоніні можна компенсувати гомоцистеїну з додаванням адекватної кількості донорів метильної групи.

Таким чином, для судження про «незамінності» амінокислоти необхідно не просто виходити із зазначених вище критеріїв, але і враховувати інші компоненти пиши. Крім того, потреба в амінокислотах змінюється в залежності від фізіологічного стану людини (наприклад, під час вагітності, лактації або хвороби), від його віку і, можливо, від складу його кишкової флори.

  1. Будову і функції нейрона, будова нейрона - вікова анатомія і фізіологія
    Нейрон - структурно-функціональна одиниця нервової системи, він забезпечує роботу всієї системи, приймаючи і аналізуючи інформацію, що надходить і формуючи узагальнену відповідь, який у вигляді імпульсів передається іншій клітці по відростках. Число нейронів, що утворюють нервову систему людини,
  2. Будову і функції капілярних судин - фізіологія людини і тварин
    Функції капілярів в системі кровообігу є найважливішими. Саме в них відбувається обмін газами та іншими речовинами між кров'ю і тканинною рідиною. Капіляри мають дуже тонкі стінки, які складаються з ендотеліальних клітин, що лежать на базальній мембрані. М'язові волокна, які могли б міняти
  3. Будову головного мозку - вікова фізіологія і психофізіологія
    Головний мозок - найбільший відділ ЦНС, розташовується в черепній коробці людини і займає 80% її обсягу. Маса його у дорослої людини коливається від 1,1 кг до 2 кг. Усередині головного мозку розташовані порожнини - шлуночки мозку , зовні головний мозок захищений трьома мозковими оболонками,
  4. Будова серця - вікова анатомія і фізіологія. Т.2 опорно-рухова і вісцеральні системи
    4 р діафрагма Мал. 9.2. Положення серця в грудній порожнині Серце розташоване в грудній порожнині між легкими і зазвичай зміщений вліво (рис. 9.2). Серце розташовується асиметрично: його вісь спрямована праворуч-зверху, вперед-вниз і вліво. Своїм підставою серце звернено до хребта, а сто верхівка
  5. Будова клітини - нервова система: анатомія, фізіологія, Нейрофармакологія
    Клітини різних організмів, що живуть на Землі, і навіть одного і того ж організму можуть дуже сильно відрізнятися і за розмірами, і але будовою, і але функціям. Наприклад, порівняйте нейрон, клітку серцевого м'яза, еритроцит і сперматозоїд (рис. 1.13). Мал . 1.13. Приклади клітин різної форми:
  6. Бродіння, зв'язок з гліколізом - біохімія
    Гліколіз лежить в основі ряду процесів бродіння, т. Е. Катаболіче- ських перетворень вуглеводів мікроорганізмами в анаеробних умовах (табл. 18.3). Бродіння, як і анаеробне розщеплення вуглеводів, - це внутрішні окислювально-відновні процеси, в результаті яких роль кінцевого акцептора електронів
  7. Біотехнологія та генетична інженерія - генетика
    Видатні досягнення біотехнології в кінці XX ст. залучили до неї увагу не тільки широкого кола науковців, а й усієї світової громадськості. Не випадково XXI ст. запропоновано вважати століттям біотехнології. Біотехнологія - міждисциплінарна область знань, що базується на мікробіології, біологічної
  8. Біосинтез піримідинових рибонуклеотидів - біохімія частина 2.
    Застосування мічених атомів дозволило з'ясувати походження кожного з атомів піримідинового кільця: Біосинтез урідінмонофосфата (УМФ) - загального попередника всіх піримідинових нуклеотидів включає шість реакцій. 1. Освіта карбамоілфосфата при дії карбамоілфосфатсінте- тази II (КФС II). Донором
© 2014-2022  ibib.ltd.ua