Головна
Cоціологія || Гуманітарні науки || Мистецтво та мистецтвознавство || Історія || Медицина || Науки про Землю || Політологія || Право || Психологія || Навчальний процес || Філософія || Езотерика || Екологія || Економіка || Мови та мовознавство
ГоловнаМедицина → біохімія
««   ЗМІСТ   »»

СИНТЕЗ

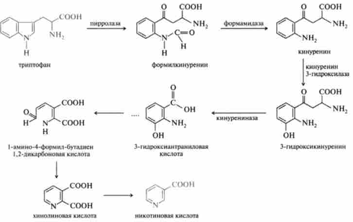
Нікотинова кислота є життєво важливою структурою для багатьох живих організмів. Деякі з них здатні синтезувати її з амінокислоти триптофану. Біосинтез нікотинової кислоти - багатостадійний процес, основні етапи якого полягають в наступному: з триптофану утворюється кінуренін, потім, після ряду проміжних стадій, хінолінова кислота, декарбоксилирование якої призводить до утворення нікотинової кислоти:

Є багато схем хімічного синтезу нікотинової кислоти. Найбільш простий з них є використання в якості попередників нікотину або анабозіна. В обох випадках це одностадійний процес, пов'язаний з каталітичним окисленням нікотину або анабазіна сірчаною кислотою в присутності металевого селену при температурі 100 ° С:

АВІТАМІНОЗ

Дефіцит вітаміну РР призводить до розвитку пелагри, яка проявляється у вигляді різних дерматитів із загостренням після сонячного впливу. При пелагрі відзначені також порушення функцій травлення і нервової системи.

ПРАКТИЧНЕ ЗАСТОСУВАННЯ

У медичній практиці використовують вихідні нікотинову кислоту і її амід, а також в комплексі з іншими хімічними сполуками. Нікотин амід застосовують при атеросклерозі, зокрема при гиперхолистеринемии, для нормалізації функцій печінки, нирок, головного мозку. Серед комплексних препаратів, до складу яких входить нікотинова кислота, можна відзначити никошпан, що містить крім нікотинової кислоти но-шпу (судинорозширювальну і спазмолітичну засіб), а серед похідних нікотинової кислоти широке застосування в медичній практиці отримав кордіамін (стимуляція функцій нервової системи і дихання).

Нікотинова кислота і нікотинамід є ростовими факторами для мікроорганізмів, в тому числі і мають промислове значення. Вітамін РР застосовується для вітамінізації хлібобулочних виробів, а також входить в раціон сільськогосподарських тварин (на 1 т комбікорму - 40-60 г вітаміну РР).

  1. 71. Етіологія і патогенез - факультетська хірургія
    Виділяють дві форми гострого холециститу: гострий калькульозний і гострий безкам'яний холецистит. Етіологія і патогенез цих двох форм захворювання різні. У переважній більшості випадків (90-95%) гострий холецистит буває калькулеза (обструктивним) і виступає ускладненням ЖКХ. Захворювання,
  2. 69. Хронічний періодонтит - стоматологія. Ендодонтія
    Хронічний періодонтит (апикальная гранульома) є результатом гострого апікального періодонтиту або формується без гострої стадії. Протікає майже безболісно, триває тижні і місяці. В області верхівки кореня навколо інфільтрату з лімфоцитів і плазматичних клітин розростається грануляційна тканина,
  3. 65. Класифікація - факультетська хірургія
    Класифікація перитоніту будується на принципах поширеності процесу по очеревині і обліку динаміки запалення. Оцінка цих обставин має велике значення для визначення хірургічної тактики і аналізу результатів лікування. В даний час використовується классификационно-діагностична схема, що дозволяє
  4. 60. Клінічна картина і діагностика - факультетська хірургія
    Відповідно до патогенетичними розладами в організмі розвивається клінічна картина захворювання. Вона залежить від фази перебігу, форми ОКН і рівня обструкції шлунково-кишкового тракту. Виділяють три клінічні фази ОКН. перша фаза (Ілеусного крику) характеризується появою переймоподібних болів,
  5. 54. Метаболізм, біохімічні функції - біохімія
    В організмі тварин після введення вітамінів D були виявлені їх гідроксілірованнис похідні, причому процес гідроксилювання здійснювався в печінці і в нирках. Ці метаболіти є основною частиною групи активних вітамінів D і набагато більш ефективні відносно регуляції кальцієвого і фосфорного обміну
  6. 47. Метаболізм, біохімічні функції - біохімія
    вітамін В ) 2 у вільному стані не може всмоктуватися в шлунково-кишковому тракті, а засвоюється організмом тільки в комплексі зі специфічним білком. Цей білок є глікопротеїн з молекулярною масою 90 kDa і називається внутрішнім фактором або фактором Кастла (на прізвище відкрив його вченого)
  7. 39. Патогенез - факультетська хірургія
    Функціонально черевна порожнина являє собою щось на кшталт великого лімфатичного вузла, який збирає виділяється в неї вміст водянки і ексудат і направляє його до органів ретікулоендотеліалиюй системи: печінку, селезінку, легені. Шляхами транспорту виступають: брижових і заочеревинні лімфовузли,
  8. 30. Синтез, авітаміноз, практичне застосування - біохімія
    Токоферол був синтезований з тремтіли-л-гидрохинона і фітілбромі- та в середовищі бензолу. Реакція конденсації пов'язана з утворенням ряду проміжних продуктів, одним з яких є аліловий ефір. У промисловості використовують метод отримання більш активного «токоферолу з низькоактивних
© 2014-2022  ibib.ltd.ua