| Головна |
| «« | ЗМІСТ |
|---|
Закономірності руху крові по судинах вивчає гемодинаміка. Цей розділ фізіології тісно пов'язаний з гідродинаміки - областю фізики, що вивчає рух рідин. Одним з найважливіших показників руху крові по судинах є об'ємний кровотік (Q), Який визначається як обсяг крові, що протікає через поперечний переріз судини в одиницю часу і вимірюється в міліметрах за хвилину (мл / хв). Часто використовується такий показник, як об'ємний кровотік в органі - обсяг крові, що протікає через все судини органу в одиницю часу. Для характеристики всієї системи кровообігу введено поняття системного кровотоку, який розраховується як обсяг крові, викинутої лівим шлуночком в аорту за хвилину. Інша назва цього показника - хвилинний об'єм крові. У дорослої людини в спокої він дорівнює 4-5 л / хв.
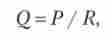
Кров рухається завдяки різниці тисків (АР) на початку судини (РД і в кінці судини (Р2). Руху крові протидіє опір судини (R). Обсяг крові, що протікає через поперечний переріз судини в одиницю часу, прямо пропорційний різниці тисків на початку і кінці судини і обернено пропорційний його опору. Цей основний закон гемодинаміки описується формулою

Кровотік у великому колі кровообігу залежить від різниці тисків крові на початку аорти і в гирлах порожнистих вен. Так як тиск крові в гирлах порожнистих вен близько до нуля, то різниця тисків буде близька до рівня тиску на початку аорти. Е го дозволяє спростити формулу до вигляду

де R - сумарний опір судинної системи великого кола (загальний периферичний опір судин); Р - рівень тиску на початку аорти. Судини різного типу вносять різний внесок в загальний периферичний опір кровотоку, але цієї причини падіння тиску в різних частинах судинного русла неоднаково. У великих артеріях, капілярах і венулах тиск знижується незначно. У дрібних артеріях і артеріолах тиск падає більш ніж в два рази.
опір кровотоку (R) залежить від радіуса судини (г), його довжини (/) і в'язкості крові (v). Цю залежність описує формула Пуазейля:
Так як число я є константою, а довжина судини практично стабільна, основний внесок в зміну опору судини вносить його радіус (у формулі Пуазейля він зводиться в 4-ю ступінь). Наприклад, якщо радіус судини зменшиться з 4 до 2 мм, то його опір кровотоку зросте в 16 разів (24). Кровотік через такий посудину при незмінних значеннях тиску також зменшиться в 16 разів.
В'язкість крові теж є змінною величиною. Вона здатна збільшуватися в 1,5-2 рази при зростанні числа еритроцитів (гемато кріта) і кількості білка в плазмі. В'язкість крові збільшується при активації системи згортання, а також при зниженні температури крові. У пальцях рук, охолоджених в крижаній воді, в'язкість крові, що заповнює судини, може збільшуватися в три рази.
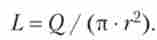
Ще одним важливим гемодинамічним показником є лінійна швидкість кровотоку. Вона визначається як відстань, пройдену кров'ю за одиницю часу, і має розмірність [см / с]. Зв'язок лінійної швидкості кровотоку (L) З об'ємним кровотоком (Q) описується формулою

З формули випливає, що лінійна швидкість кровотоку в судинах пропорційна об'ємній кровотоку через них і обернено пропорційна площі поперечного перерізу цих судин (л - г2). Наприклад в аорті, площа поперечного перерізу якої дорівнює в середньому 4 см2, швидкість переміщення частинок крові становить в спокої близько 50 см / с. У напрямку до капілярів сумарний поперечний просвіт судин збільшується, а лінійна швидкість крові - зменшується. Найнижчою вона стає в капілярах, сумарне поперечний переріз яких в 500-600 разів більше, ніж у аорти. Повільний потік крові в капілярах (0,1 см / с) забезпечує високу ефективність обмінних процесів між кров'ю і тканинами. У венах швидкість кровотоку зростає обернено пропорційно зменшенню сумарної площі їх поперечного перерізу. З цієї причини вона мінімальна у венулах і досягає значення 20 см / с в гирлі порожнистих вен.
Розглянуті закономірності руху крові по судинах справедливі тільки для потоку, в якому всі частинки рухаються в одному напрямку, причому по прямій. Такий перебіг рідини називається ламінарним, на відміну від турбулентного течії, при якому в потоці виникають «завихрення». Імовірність виникнення турбулентності прямо пропорційна лінійної швидкості потоку, діаметру судини і щільності рідини і обернено пропорційна в'язкості. У більшості судин потік крові носить ламінарний характер, але невеликі турбулентні завихрення виникають в місцях розгалуження судин. Таким чином, «архітектура» судинної мережі також впливає на ймовірність виникнення турбулентності. У нормі турбулентність виникає тільки в шлуночках і, в меншій мірі, в передсердях. Вона сприяє перемішуванню крові і забезпечує її однорідність. Наприклад, не у всіх ділянках легкого кров збагачується киснем в рівній мірі. Турбулентність в лівому шлуночку забезпечує таке її змішування, що всі тканини організму отримують кров, що містить однакову кількість кисню. При важкому фізичному навантаженні, коли кровотік в аорті може збільшитися в п'ять разів, в ній теж можуть розвинутися турбулентні завихрення потоку. Крім того, турбулентні завихрення потоку можуть виникнути в судинах на ділянках, розташованих відразу після звужень, викликаних атеросклеротичними бляшками або тромбами. Турбулентність в цих випадках погіршує кровотік через судини, стаючи ще одним фактором ризику розвитку патологій.