Головна
Cоціологія || Гуманітарні науки || Мистецтво та мистецтвознавство || Історія || Медицина || Науки про Землю || Політологія || Право || Психологія || Навчальний процес || Філософія || Езотерика || Екологія || Економіка || Мови та мовознавство
ГоловнаМедицина → біохімія
««   ЗМІСТ   »»

ВИЗНАЧЕННЯ ПЕРВИННОЇ СТРУКТУРИ БІЛКІВ

Визначенню первинної структури передує денатурація і розрив поперечних дисульфідних зв'язків в білку. Це досягається за допомогою надлишку меркаптоетанол наступним чином:

Як видно з рівняння, цистин перетворюється в два залишку цистеїну, які потім блокують надлишком іодуксусной кислоти, щоб запобігти зворотне утворення зв'язків -S-S-.

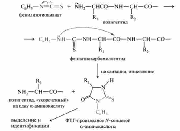
Розщеплення поліпептидного ланцюга на фрагменти проводять зазвичай за допомогою протеолітичних ферментів, таких, як трипсин, хімотрипсин або пепсин. Ці ферменти діють на різні ділянки поліпептидного ланцюга, так як мають підвищену спорідненість до різних амінокислотним залишкам. Необхідно враховувати також сусідні амінокислотні залишки, т. Е. Просторове оточення атакується пептидного зв'язку. Виявилося, що трипсин гідролізує тільки ті пептидні зв'язку, в утворенні яких бере участь карбоксильна група лізину або аргініну, а хімотрипсин гідролізують зв'язку з фенілаланіну, триптофану і тирозину. Зазвичай протеолітичні ферменти, що гідролізують поліпептидні ланцюги, попередньо иммобилизуют на нерозчинних матрицях для більш легкого відділення їх від продуктів гідролізу. Далі визначають амінокислотні послідовності кожного поліпеп- тідного фрагмента. Для цього найчастіше використовують метод Едмана, що полягає в аналізі поліпептиду тільки з УУ-кінця. Кінцева амінокислота при взаємодії з фенілізотіоціанатом в лужному середовищі утворює стійке з'єднання, яке можна отщепить від поліпептиду без його деградації. Фенілтіогідантоіновос (ФТГ) похідне амінокислоти ідентифікується хроматографічним методом. Після ідентифікації кінцевого / V-аміно- кислотного залишку мітка вводиться в наступний амінокислотний залишок.

який стає кінцевим. Метод Едмана можна автоматизувати, використовуючи секвенатор (від англ, sequence - послідовність), за допомогою якого ФТГ-похідні отщепляются від поліпептиду і ідентифікуються за допомогою високоефективної рідинної хроматографії:

Ф. Сенгер вперше повністю розшифрував первинну структуру білкового гормону інсуліну, використовуючи метод Едмана.

Іншим високочутливим методом є так званий дансіль- ний метод, пов'язаний з приєднанням до кінцевої амінокислоті дансіл- хлориду (1-диметиламіно-нафталін-5-сульфохлоридів) за наступною схемою:

Первинна структура білка може бути встановлена побічно наступним чином: спочатку отримують відповідну кДНК, потім ідентифікують клон, що відноситься до аналізованого білку, і по чергуванню в ньому нуклеотидів з використанням бібліотеки амінокислотних послідовностей визначають первинну структуру білка.

  1. Вплив спадковості і зовнішнього середовища на ріст і розвиток дитячого організму - вікова анатомія і фізіологія
    Всі структурні і функціональні зміни організму людини в різні вікові періоди відбуваються під впливом спадковості і умов зовнішнього середовища. спадковість (Генетичний код) визначає потенційні можливості фізичного і розумового розвитку індивідуума. Одні гени контролюють життєво важливі функції,
  2. Вплив на процес старіння умов життя - біологія. Частина 1
    Умови життя відносяться до категорії понять, що відрізняються широтою і деякою розмитістю кордонів. Якщо для тварин воно включає природно-географічні, перш за все кліматичні, фактори, то по відношенню до людини необхідно враховувати також і соціально-економічні фактори. Дослідження впливів
  3. Вплив концентрації реагенту на швидкість реакції, закон діючих мас для швидкості - біохімія людини
    Вивчення різних кінетичних кривих (рис. 10.2) показує, що швидкість зменшення концентрації реагенту з часом падає. Дійсно, тангенс нахилу дотичній кривих з часом зменшується, а отже, зменшується пропорційна йому швидкість. Спостережуване падіння швидкості, очевидно, пов'язано зі зменшенням
  4. Волосся - цитологія, гістологія і ембріологія
    Волосся гігроскопічні, погано проводять тепло, є захисним утворенням. У сільськогосподарських тварин волосся відсутні лише на м'якуш пальців, носовому (у овець) і носогубного (у великої рогатої худоби) дзеркальцях. Волосся формуються з потовщення епітелію. Потім завдяки розмноженню клітин
  5. Внутрішнє середовище організму, склад крові, клітини крові, їх будова, функції - вікова фізіологія і психофізіологія
    В результаті вивчення даного розділу студент повинен: знати склад, функції та властивості крові, їх вікові особливості; механізми функціонування і принципи гуморальної регуляції кровотворення, відмінність її від нервової регуляції; імунні властивості крові, види імунітету; особливості формування
  6. Внутрішньоклітинний потік енергії - біологія. Частина 1
    потік енергії у представників різних груп організмів забезпечується механізмами енергопостачання - бродінням, фото- або хемосинтезу, диханням. Центральна роль в біоенергетиці клітин тварин належить дихальному обміну. Він включає реакції розщеплення Мал. 2.7. Потік біологічної інформації в
  7. Властивості нервової системи і типи вищої нервової діяльності, основні властивості нервової системи - фізіологія вищої нервової діяльності та сенсорних систем
    В результаті вивчення даного розділу студент повинен: знати основні властивості нервової системи і методи їх визначення; класифікацію типів ВНД дітей Красногорського і Іванова-Смоленського; типи ВИД і їх відповідність типу темпераменту; вміти визначати властивості нервової системи людини;
  8. Визначення вторинної структури білків - біохімія
    Для визначення вторинної структури білків використовуються в основному оптичні методи. Звичайно, більш надійним є рентгеноструктурний метод, однак його застосування пов'язане з певними труднощами і вимагає значного часу. Такі оптичні методи, як дисперсія оптичного обертання і кругового дихроизм,
© 2014-2022  ibib.ltd.ua