Головна
Аксіологія / Аналітична філософія / Антична філософія / Антологія / Антропологія / Історія філософії / Історія філософії / Логіка / Метафізика / Світова філософія / Першоджерела з філософії / Проблеми філософії / Сучасна філософія / Соціальна філософія / Середньовічна філософія / телеологія / Теорія еволюції / Філософія (підручник) / Філософія мистецтва / Філософія історії / Філософія кіно / Філософія науки / Філософія політики / Філософія різних країн і часів / Філософія самоорганізації / Філософи / Фундаментальна філософія / Хрестоматії з філософії / Езотерика
ГоловнаФілософіяЛогіка → 
« Попередня Наступна »
М.Д. Купарашвілі, А.В. Нехаєв, В.І. Розмова, Н.А. Черняк .. Логіка: навчальний посібник М.Д. Купарашвілі, А.В. Нехаєв, В.І. Розмова, Н.А. Черняк. - Омськ: Изд-во ОмГУ, 2004. - 124 с., 2004 - перейти до змісту підручника

Види аналогії і їх характеристика


- Виділяються наступні види аналогії: аналогія властивостей, аналогія відносин, структурна аналогія, - залежно від того, що являють собою предмети аїр - чи є вони індивідами, послідовностями індивідів, агрегатами і, відповідно, в залежності від характеру розглянутих ознак.
1. Так, якщо предмети аїр деякі індивіди «а» і «Ь», a «Pi, ..., Р" »- ознаки, що вказують на наявність або відсутність у них тих чи інших властивостей, то такого роду аналогії називаються аналогіями ознак або аналогіями властивостей

. Схема аналогії властивостей повністю еквівалентна вже зазначеної вище загальній схемі для умовиводів за аналогією, або може бути представлена в такій формі:



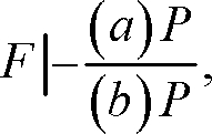
де F - підстава виводу за аналогією; (а) - символ моделі, т. е . предмета, який досліджується; (ред) - символ прототипу, тобто предмета, на який переноситься інформація, отримана при дослідженні моделі; Р - властивість, переносний з моделі на прототип.
2. Якщо аїр-деякі послідовності предметів, з-відповідально - «а1г а і. ..., Ап »і« Ь /, '2, ... , Ь "» (пари, трійки, п-ки предметів взагалі), а ознаки «Рь ...,! '" ». як і «Q», - п-місцеві відносини, в яких знаходяться члени цих послідовностей, то такого роду аналогія називається аналогією відносин. Загальна схема аналогії відносин така:
Pl (al, a2, ..., an), ..., Pn (al, a2, ..., an), Q (al, a2 , ..., an)
Ймовірно, 6А А, ... А)
(I'jfbi-hi)), а також відомо, що at любить а2 (Q (a}, а2)), - з усього цього можна зробити висновок за аналогією, що ймовірно hi любить '2
(Q (bi,'я.

Аналогію відносин можна представити також і наступною схемою:



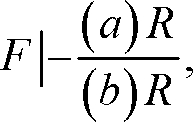
Для ілюстрації даної схеми можна припустити, що деякі дві пари людей сц. а2 і b /. b2 подібні в наявності у них таких відносин, як «батько-син»: аг син а2 (І '/ {сі /, сь)) і аг піклується про а2 (Р2 (АІ а2)) і, відповідно, bt син b2 (Pi (bi, '2)) і bt піклується про '2 де F - підстава виводу за аналогією; (а) - символ моделі, тобто предмета, який досліджується ; (ред) - символ прототипу, тобто предмета, на який переноситься інформація, отримана при дослідженні моделі; R - відношення, переносний з моделі на прототип.
3. Особливо важливу роль у пізнанні виконують умовиводи, які називаються структурними аналогіями. Специфіка структурної аналогії полягає в тому, що предметами аїр є тут деякі агрегати (системи), а їх ознаками - характеристики їх структур: склад частин, спосіб їх з'єднання тощо. У деяких особливих випадках як агрегату правомірно розглядати предмет, що представляє собою деяку систему кількісних характеристик. Наприклад, електричний струм може розглядатися у вигляді сукупності таких певним чином пов'язаних між собою кількісних характеристик, як: напруга, яке залежить від різниці потенціалів на кінцях провідника; сила струму і опір. Далі по аналогією з електричним струмом можна розглянути, наприклад, потік рідини, який характеризується: силою, що діє на її частинки і залежної від різниці рівнів якихось ділянок потоку - аналог електричної напруги; кількість рідини, що протікає через поперечний переріз за одиницю часу - аналог сили струму і опір руху рідини - аналог електричному опору. А оскільки відомий зв'язок між зазначеними кількісними характеристиками електричного струму, яка описується «законом Ома» - сила струму прямо пропорційна напрузі і обернено пропорційна опору, то правомірно припустити про ймовірне наявності такої ж зв'язку між відповідними кількісними характеристиками потоку рідини, і, дійсно, аналогічну «закону Ома» зв'язок для зазначених кількісних характеристик потоку рідини описує формула Дарсі-Вейсбаха. Цілком оче-
видно, що розглянута аналогія корисна не тільки як підстава для умовиводи, але має і певне пізнавальне значення сама по собі, наприклад, для з'ясування характеристик потоку жид-кістки.
До подібного виду структурних аналогій відноситься широко застосовувана в науці операція моделювання, в ній евристична функція аналогії знаходить своє безпосереднє застосування. Наприклад, про те, як буде вести себе споруджуваний літак, судно, гребля на основі поведінки відповідної моделі, враховують зазвичай саме структурний подібність моделі та її прототипу як в сенсі будови, так і в сенсі кількісних характеристик. Слід зазначити, що структурний подібність між моделлю і прототипом знаходить своє вираження в логіці в таких поняттях, як ізоморфізм і гомоморфізм. Так, два деяких безлічі є ізоморфними, якщо має місце взаімооднозначном відповідність між їх елементами, тобто кожному елементу першої множини відповідає певний елемент другої множини і навпаки . Гомоморфізм - це вже «багатозначне» відповідність, що має місце за такої умови, коли кожному елементу першої множини відповідає єдиний елемент другої множини, але при цьому певний елемент другої множини може відповідати різним елементам першого множини.
Особливим видом структурної аналогії можна вважати аналогію міркувань (умовиводі), яка характеризується тим, що деякі твердження відносяться до схожих ситуацій. Аналогії цього типу використовуються як спосіб спростування деяких міркувань. Так, на основі сумнівності або явної неспроможності твердження, що відноситься до однієї ситуації, робиться висновок про неспроможність його в застосуванні до іншої. Наприклад, якщо хтось міркує таким чином:
Всі злочини кримінально карані
Всякий грабіж кримінально карний
Всякий грабіж - злочин
То замість того, щоб роз'яснювати людині неправильність цього міркування посиланнями на порушення правил силогізму (наприклад, в даному випадку нераспределен середній термін в обох посилках),
можна навести міркування такий же - аналогічної - логічної структури стосовно до іншої ситуації, в якій виявляється його явна абсурдність. Наприклад:
Все гуси - двуноги
Все курки теж двуноги
Все курки - гуси
- Як і для індуктивних умовиводів для висновків за аналогією, існує ряд умов, що дозволяють підвищити ступінь ймовірності укладання, т. е. зробити висновки за аналогією більш правдоподібними. Серед таких умов можна виділити наступні:
Висновок за аналогією тим правдоподібніше, чим більше подібностей між предметами при цьому враховується, але слід пам'ятати, що аж ніяк не будь подібності при цьому годяться.
В якості основи виведення необхідно встановлення подібностей предметів у таких ознаках «Plt ..., Рп», які, принаймні, імовірно пов'язані тим чи іншим чином з стерпним ознакою «Q» , в якійсь мірі детермінують або обумовлюють його, тобто є якоюсь мірою істотним для нього.
Нарешті, для підвищення правдоподібності висновків за аналогією корисно також враховувати поряд зі схожістю предметів їх відмінність, оскільки нерідкі випадки, коли якесь одне розходження вказує на неправомірність аналогії, незважаючи на всі безліч подібностей. Наприклад, неважко вказати безліч подібних ознак між Землею і Місяцем, однак відсутність у Місяця атмосфери робить неправомірною спробу укласти про наявність на ній життя на основі аналогії із Землею. Таким чином, висновок за аналогією без урахування хоча б уже відомих відмінностей між відповідними предметами не можна вважати коректним.
« Попередня Наступна »
= Перейти до змісту підручника =
Інформація, релевантна "Види аналогії і їх характеристика"
  1. 97. Речове-правові способи захисту права власності.
    види цінних паперів. Відповідно до статті 50 Закону "Про власність" на вимоги про повернення майна з чужого незаконного володіння поширюється трирічний строк позовної давності. 20.3. Негаторний позов Власник (титульний власник) може вимагати усунення яких порушень його права, навіть якщо ці порушення і не були пов'язані з позбавленням володіння (п.2 ст. 48 Закону "Про
  2. 3. Опис винаходу
    види технічних результатів, у тому числі в окремих випадках, в конкретних формах його виконання або за особливих умов використання. Технічний результат може виражатися, зокрема, у зменшенні крутиться моменту, у зниженні коефіцієнта тертя, в запобіганні заклинювання, зниженні вібрації, підвищенні протипухлинної активності, локалізації дії лікарського препарату
  3. § 3. Англо-американська система
    види залежно від того, що належить їх учасникам-частки (вклади) або акції. Їх замінює єдиний термін - shares. При створенні корпорацій формуванню початкового статутного капіталу приділяється менша увага, ніж у континентальній системі. Формально правоздатність юридичних осіб досі не визнана спільною. Дія норм про спеціальну правоздатності юридичних осіб (доктрини ultra
  4. Зміст
    види) юридичних осіб 77 § 3. Правоздатність юридичних осіб 78 § 4. Органи юридичної особи. Філії та представництва 80 § 5. Освіта, реорганізація та ліквідація юридичних осіб 82 § 6. Загальні положення про господарські товариствах і товариствах 90 § 7. Повне товариство і товариство 93 на вірі (командитне товариство) 93 § 8. Товариство з обмеженою відповідальністю та товариство з
  5. § 1. Загальна характеристика галузі цивільного права. Предмет і метод регулювання
    види діяльності у своїх інтересах та інтересах суспільства. Держава не має права втручатися в сферу життя і діяльності учасників громадянського суспільства інакше, як здійснюючи свої функції в рамках закону. Учасниками відроджуваного російського суспільства є громадяни (у тому числі громадяни-підприємці), юридичні особи, муніципальні освіти, суб'єкти Російської Федерації та
  6. Глава дванадцята. ФОРМА ПРАВА
    види формальної визначеності права, типізувати їх і за-кріпила в понятійному апараті юридичної свідомості? Саме ці питання і складають серцевину теми про форму права. Нагадаю, що коли обговорювалося походження права, вже розглядався процес появи первинних юридичних письмових джерел (окремих законів, кодексів, священних агрокалендарях, інших актів), що мали своїм
  7. Глава вісімнадцята. ТЛУМАЧЕННЯ ПРАВОВИХ НОРМ
    види тлумачення є легальними, випливають, як правило, з виникаючих великих соціально-політичних проблем, які створює сам законодавець. Так, наприклад, прийнявши 27 грудня 1990 норму про оголошення 7 січня в Росії (Різдво Христове) неробочим днем, законодавець змушений був потім роз'яснити, як бути з цим неробочим днем прихильникам інших віросповідань (було роз'яснено, що
  8. ГЛОСАРІЙ
    види оцінюють різні види поведінки через отримані результати, які можна виміряти. До процесуальних теоріям мотивації відносяться: теорія очікувань, теорія справедливості, модель мотивації Портера-Лоулера та ін Професійна кар'єра - послідовність посад, займаних співробітником в однієї організації. Професійна інфраструктура управління персоналом - зовнішні по відношенню
  9. 5.1. Загальна характеристика умовиводу
    види. Більшу частину знань про предмети і явища навколишнього світу людина отримує з вже наявної у нього інформації. При цьому він йде по шляху виведення нового знання із уже наявного. Опосередковано, використовуючи різні види умо-заключний, ми отримуємо нове знання. Тому отримане таким шляхом знання прийнято називати вивідним, або опосередкованим. Під умовиводом розуміють форму мислення,
  10. контрольні роботи
    види знаків. Основи теорії іменування. Основні семантичні категорії мовних виразів. Різноманіття функцій мови. Формалізована мова як засіб виявлення логічної форми мовних виразів. СПИСОК літератури Гетманова А . Д. Підручник з логіки. М., 1995. С. 18-25. Горський Д.П., Івін А.А., Никифоров А.Л. Короткий словник по логіці. М., 1991. Кирилов В.І. , Старченко А.А. Логіка. М., 1995.
© 2014-2022  ibib.ltd.ua