Головна
Cоциальная психологія / Дитяча психологія спілкування / Дитячий аутизм / Історія психології / Клінічна психологія / Комунікації та спілкування / Логопсихологія / Мотивації людини / Загальна психологія (теорія) / Популярна психологія / Практична психологія / Психологічне консультування / Психологія в освіті / Психологія менеджменту / Психологія педагогічної діяльності / Психологія розвитку та вікова психологія / Психосоматика / Психотерапія / Сімейна психологія / Спеціальна психологія / Екстремальна психологія / Юридична психологія
ГоловнаПсихологіяПсихосоматика → 
« Попередня Наступна »
Малкіна-Пих І. Г.. Психосоматика: Довідник практичного психолога. - М.: Изд-во Ексмо. - 992 с., 2005 - перейти до змісту підручника

3.9. транзактного аналізу


Транзактний аналіз (від лат. transactio - угода і грец. analysis - розкладання, розчленування) - психотерапевтична методика групового та особистісного зростання, запропонована американським психологом і психіатром Еріком Берном. Цей метод психотерапії заснований на процедурі аналізу структури особистості. В якості особистісних структур, як інтеріоризується-цій соціального досвіду, тут розглядаються особливості і взаємодія трьох станів Я: «Батько», «Дитина» і
443

Глава 3
«Дорослий». «Батько» являє собою авторитарні тенденції індивіда, «Дитина» - підпорядковану позицію, «Дорослий» - вміння відстоювати власну думку і організувати взаємини з іншими на основі рівноправного партнерства.
Існує кілька ключових ідей, які лежать в основі теорії транзактного аналізу: модель его-станів, транзакції, погладжування, структурування часу, життєвий сценарій та ігри.
Практика терапії психосоматичних захворювань в транзактном аналізі базується на послідовному теоретичному підході, основою якого є переконання, що ранні рішення, які людина приймає в дитинстві про те, які у нього повинні бути сценарні патерни поведінки, думок і почуттів, можуть бути змінені. В транзактном аналізі кажуть: « Для того щоб краще себе почувати, необов'язково хворіти ».
Основна мета цього психотерапевтичного методу - актуалізація« Дорослого »в людині, реконструкція особистості на основі перегляду життєвих позицій, непродуктивних стереотипів поведінки, формування нової системи цінностей. У процесі терапії повинен враховуватися актуальний психологічний конфлікт і вплив соціальних факторів.
Даний вид психотерапії заснований на контрактному методі, при якому пацієнт і терапевт несуть взаємну відповідальність за досягнення цілей контракту. Ці цілі спрямовані на вихід з сценарію і досягнення автономії, отримання пацієнтом нових Батьківських послань, створення інтегрованого Дорослого.
Крім того, транзактний аналіз дозволяє проаналізувати ігри людей, що страждають психосоматичними розладами, і переваги (виграші), що випливають з них. Виграш всіх ігор направлений в тій чи іншій мірі на зміцнення самозахисту, отримання привілеїв, ухилення від близьких відносин і відхід від відповідальності.
Основою транзактного аналізу є модель его-станів («модель РВД»). Его-стан - це сукупність пов'язаних один з одним поводжень, думок і почуттів як спосіб прояву нашої особистості в даний момент. Модель описує три різних его-стани:
Р - его-стан Батька: поведінка, думки і почуття, скопійовані у батьків або парентального фігур
444
Психотерапія при психосоматичних захворюваннях
В - его-стан Дорослого: поведінка, думки і почуття , які є прямим реагуванням на «тут і тепер»
Д - его-стан Дитини (Дитяти): поведінка, думки і почуття, властиві дитячому віку.
Модель его-станів дозволяє встановлювати надійний зв'язок між поведінкою, думками і почуттями.
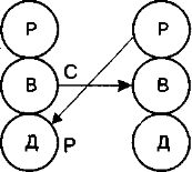
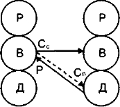
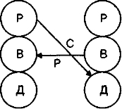
Транзакція має місце тоді, коли я пропоную вам якийсь вид комунікації (спілкування), а ви відповідаєте мені. Початок комунікації називається стимулом , відповідь - реакцією. Берн вважав транзакцію «основною одиницею соціальної взаємодії». Спілкування між людьми завжди приймає форму подібних ланцюжків транзакцій. Транзакції бувають паралельні (що доповнюють), пересічні і приховані. Приклади схем транзакцій наведено на рис. 3.

Пересічна транзакція В-В, Р-Д: З - стимул, Р - реакція

Пересічна транзакція Р-Д, В-В: З - стимул, Р - реакція

Подвійна прихована транзакція:
соціальний рівень В-В, В-В;
психологічний рівень Р-Д, Д-Р:
Сс, Сп - соціальний і психологічний
стимули; Рс, Рп - соціальна та
психологічна реакції

Кутова прихована транзакція:
Сс, Сп - соціальний
і психологічний стимули;
Р - реакція
Рис. 3. Схеми транзакцій
445
Глава 3
Структурування часу. При зустрічах людей в групах чи парах існує всього шість різних способів проводити свій час. Ерік Берн дав такі визначення цих шести видам структурування часу: догляд, ритуали, проведення часу, діяльність, ігри, інтимність. На думку Берна, всі ці способи сприяють задоволенню структурного голоду людини.
Поглаживание визначається як одиниця транзакції. Можна класифікувати погладжування наступним чином: вербальні або невербальні, позитивні чи негативні, умовні або безумовні.
Сценарій життя. У дитинстві кожен з нас пише свій власний сценарій життя. Основний сюжет ми пишемо в ранньому дитинстві до того, як навчилися говорити. Пізніше лише додаємо деталі до нашим сценарієм. До семи років сценарій в основному написаний, а в юнацькому віці ми можемо його переглянути. Будучи дорослими, ми зазвичай не усвідомлюємо, що написали для себе сценарій життя, але проте в точності йому слідуємо. Без усвідомлення цього факту ми влаштовуємо наше життя таким чином, що рухаємося до тієї фінальній сцені, яку визначили в дитинстві. Поряд з моделлю его-станами концепція сценарію життя є наріжним каменем транзактного аналізу . Вона особливо важлива в психотерапевтичної діяльності. При аналізі сценарію ми використовуємо концепцію сценарію життя для розуміння того, як люди можуть неусвідомлено створювати собі проблеми і як вони вирішують їх.
Берн висунув ідею про те, що ще на ранньому етапі формування сценарію маленька дитина вже має певні уявлення про себе та оточуючих його людей. Ці уявлення, очевидно, залишаються з ним все життя і можуть бути охарактеризовані наступним чином: «я - ОК» або «Я - не ОК»; «ти - ОК» або «ти - не ОК».
Якщо об'єднати ці положення у всіх можливих комбінаціях, ми отримаємо чотири установки про себе та інших людях:
1.Я-ОК, ти-ОК;
2. Я - не ОК, ти - ОК;
3. Я - ОК, ти - не ОК;
4. Я - не ОК, ти - не ОК.
Ігнорування в транзактном аналізі - це несвідоме ігнорування інформації, пов'язаної з вирішенням якоїсь проблеми.
446

Психотерапія при психосоматичних захворюваннях
Світосприйняття та спотворення. Кожна людина сприймає навколишній світ по-своєму, і твоє сприйняття світу буде відрізнятися від мого. Світосприйняття визначають як структуру асоціативних відповідей, інтегруючу різні его-стану при реагуванні на певні стимули. Світосприйняття надає людині цілісний перцептуального, концептуальний, емоційний і руховий набір, який використовується для визначення себе, інших людей і навколишнього світу.
Для полегшення розуміння цього формального визначення світосприйняття пропонують розглядати як «фільтр на реальність».
Симбіоз має місце тоді, коли двоє або більше людей поводяться так, неначе разом утворюють одну людину. Люди, що приймають участь в таких взаємодіях, не використовують всі наявні у них его-стану. Звичайно один з них виключає Дитину і використовує лише Батька і Дорослого, а інший займає протилежну позицію, залишаючись в Дитині і блокуючи два інших его-стану. При входженні в симбіоз його учасники відчувають себе більш комфортно. Кожен грає роль, яку від нього очікують, однак цей комфорт досягається за певну плату: що знаходяться в симбіозі блокують багато свої здібності і можливості, властиві їм як дорослим.
Почуття рекету визначається як звичайна емоція, зафіксована і заохочується в дитинстві, пережита в самих різних стресових ситуаціях і не сприяє дорослому вирішення проблем. Рекет являє собою набір сценарних поводжень, використовуваних поза нашого усвідомлення як засіб маніпулювання оточенням і включає в себе переживання (відчуття) людиною почуття рекету.
Ігри та аналіз ігор. Можна виділити кілька характерних особливостей, властивих іграм.
1. Ігри постійно повторюються. Час від часу кожна людина грає в свою улюблену гру, при цьому гравці і обставини можуть змінюватися, однак патерн ігри завжди залишається одним і тим же.
2. Ігри програються поза усвідомлення Дорослого. Незважаючи на те що люди грають в одні і ті ж ігри, вони не усвідомлюють цього. Лише на заключній стадії гри гравець може запитати себе: «Як це знову могло статися зі
447

Глава 3
мною? »Навіть у цей момент люди зазвичай не розуміють, що вони самі почали гру.
3. Ігри завжди закінчуються тим, що гравці відчувають рекетние почуття.
4. Гравці під час ігор обмінюються прихованими транзакціями. В будь-якій грі на психологічному рівні відбувається щось зовсім відмінне від того, що має місце на соціальному рівні. Ми знаємо про це тому, що люди грають у свої ігри знову і знову, знаходячи партнерів, гри яких підходять до їх ігор.
5. Ігри завжди включають в себе момент подиву чи збентеження. У цей момент гравець відчуває, що сталося щось несподіване.
Опис наведених нижче технік передбачає досить глибоке знайомство з положеннями транзактного аналізу. Для цього можна порекомендувати наступні роботи: Берн, 1998; Гулдінг, Гулдінг, 1997; Стюарт, Джойнс, 1996; Steiner, 1990, 1996; Schiff, Schiff, 1971; Karpman, 1968.
ТЕХНІКИ
Даний розділ написаний за матеріалами книги «Сучасний транзактний аналіз» (Стюарт, Джойнс, 1996).
« Попередня Наступна »
= Перейти до змісту підручника =
Інформація, релевантна" 3.9. транзактного аналізу "
  1. Завдання курсу:
    ознайомити студентів з методологією вивчення правових явищ і методикою професійної оцінки політико-правових концепцій; сформувати у них навички самостійного аналізу теоретичних робіт найбільших представників політико-правової думки для професійної орієнтації в загальносвітових тенденціях і перспективи розвитку досліджень в галузі держави, політики, законодавства і
  2. V. Негативне виправдання реалізму
    § 402. передувати огляд позицій метафизиков може служити введенням до того аналітичному доказу, до якого ми тепер приступаємо. Під негативним виправданням реалізму мається на увазі доказ того, що він грунтується на свідченнях, що мають більше значення, ніж ті свідчення, на яких грунтується яка б то не була інша гіпотеза. Перш ніж приступити до
  3. 2. СИСТЕМНИЙ АНАЛІЗ ПОЛІТИКИ
    2. СИСТЕМНИЙ АНАЛІЗ
  4. 3. Аналіз дієво-історичної свідомості
    3. Аналіз дієво- історичного
  5. Тема 2. Логічний аналіз мови
    Тема 2. Логічний аналіз
  6. Глава 7 Тексти для самостійного аналізу
    Глава 7 Тексти для самостійного
  7. Список використаної літератури
    Артеменко В.Г., Беллендир М.В. Фінансовий аналіз - М.: ДІС, 1997 . Баканов М.І., Шеремет А.Д. Теорія економічного аналізу - М.: Фінанси і статистика, 1993. Бандурка О.М., Коробов М.Я. та ін. Фінансова діяльність ПІДПРИЄМСТВА - К.: ЛИБІДЬ, 1998. Білик М. Державні ПІДПРИЄМСТВА як об'єкт фінансового управління в умів переходу до рінкової ЕКОНОМІКИ / / Український журнал "Економіст" - 1999. № 1.
  8. ГЛАВА 8 психолінгвістичного АНАЛІЗ ПРОЦЕСІВ породження і сприйняття Реч
    ГЛАВА 8 психолінгвістичного АНАЛІЗ ПРОЦЕСІВ породження і сприйняття
  9. ПОРІВНЯЛЬНИЙ ТЕМАТИЧНИЙ АНАЛІЗ НАВЧАЛЬНОЇ ЛІТЕРАТУРИ ПО ПЕДАГОГІЦІ
    Порівняльний тематичний аналіз навчальної літератури по
  10. Тема 2. Соціально-психологічний аналіз взаємовпливів в команді
    Тема 2. Соціально-психологічний аналіз взаємовпливів у
  11. Токарева С.Б.. Проблема духовного досвіду та методологічні підстави аналізу духовності. - Волгоград: Вид-во ВолДУ. - 256 с., 2003
    Книга являє собою теоретичне дослідження духовності як сутнісного і визначального ставлення людини до дійсності. У ній простежується еволюція духовного досвіду і виділені основні типи ставлення людини до духовної реальності. Проаналізовано структуру духовного досвіду, що постає як єдність знання і переживання. Виявлено основні методологічні підходи до аналізу
  12. Виділення педагогічної проблеми, її вивчення і визначення мети рішення (бажаного результату)
    Педагогічне рішення являє собою пошук і вибір шляхів для досягнення потрібного педагогічного результату. Перший прийом у його підготовці та прийнятті - виділення педагогічної проблеми, її вивчення, з'ясування, визначення мети її рішення. Педагог, зіткнувшись з якоюсь труднощами в роботі або виявивши, що досягаються результати не ті, які хотілося б мати, замислюється над
  13. Зигмунд Фрейд. Психологія мас і аналіз людського «Я», 1927

  14. Аналіз завдань: оцінка потреб у навчанні нових співробітників.
      Загальною практикою, особливо стосовно працівників нижчої ланки, є найм ненавченого персоналу з його подальшим навчанням. Метою підприємця в даному випадку є розвиток навичок і розширення знань персоналу, необхідних для ефективної роботи, і навчання, зазвичай базується на аналізі завдань - деталізованому вивченні виконуваної роботи з метою визначення необхідних
  15.  РОЗДІЛ II. Порівняльно-правовий, ФУНКЦІОНАЛЬНИЙ І ФІЛОСОФСЬКИЙ АНАЛІЗ КАТЕГОРІЇ НАРОДОВЛАДДЯ
      РОЗДІЛ II. Порівняльно-правовий, ФУНКЦІОНАЛЬНИЙ І ФІЛОСОФСЬКИЙ АНАЛІЗ КАТЕГОРІЇ
  16. Макаренко В.П.. Марксизм ідея і владу. Ростов н / Д.: Вид-во Ростовського ун-ту. - 476 с., 1992

  17. Методи юридичної психології
      Використовувані в юридичній психології общепсихологические методи дослідження мають певну специфіку, зумовлену особливостями об'єкта дослідження. Значне місце серед цих методів займають методи структурного аналізу, природного експерименту, включеного спостереження, дослідження документів, контент-аналіз і інтерв'ювання. Метод структурного аналізу спрямований на
© 2014-2022  ibib.ltd.ua