| Головна |
| «« | ЗМІСТ | »» |
|---|
Відбір в селекції поєднується з різними способами розведення рослин і тварин і ефективний тільки в поєднанні з певними типами схрещувань. Все розмаїття типів схрещувань зводиться до інбридингу і аутбридинг. Інбридинг - це близкородственное, а аутбрі- Дінг - неродинне схрещування. Різновид аутбридинга - кроссбрідінг, або міжпороднесхрещування.
інбридинг застосовують для розкладання популяції на гомозиготні лінії, що найлегше досягається у рослин-самоопилітелей. Для організмів з перехресним розмноженням необхідні близькоспоріднені схрещування: брат - сестра, батько - дочка, мати - син, двоюрідні брати - сестри і т. Д. Наслідки інбридингу ілюструє рис. 14.3, на якому показано зміну співвідношення гомо- і гетерозигот в потомстві вихідної гетерозиготною форми при примусове самозапилення або при схрещуванні особин тільки однакових генотипів. Видно, що при моногенному успадкування ознаки в популяції більшість особин дуже скоро стають гомозиготними.
Мал. 14.3. Зміна частот генотипів при інбридингу в популяції, заснованої гетерозиготною формою Аа: / [- / в - покоління інбридингу
Гомозиготизації по генам, контролюючим досліджувану ознаку, відбувається тим швидше, чим більш близькоспоріднені схрещування використовують при інбридингу (рис. 14.4). Якщо ознака контролюють кілька генів, то гомозиготизації йде повільніше (якщо не застосовують самооплодотворение). Оскільки в більшості випадків рецесивні аллели, що знаходяться в гетерозиготному стані в популяції, мають негативний вплив на організм, наслідком інбридингу буде поступове виродження, або інбредних депресія, обумовлена гомозіготі- зацией рецесивних алелей. Одночасно інбридинг призводить до вирівнювання ліній, робить їх однорідними за більшістю ознак. Це не означає, що шляхом інбридингу можна отримати абсолютно гомозиготні лінії. Вони завжди будуть гетерозиготних за статевими хромосомами і принаймні за тими аллелям, які є в X- і У-або 2 і ^ хромосомою. Руйнує гомозиготность і мутаційний процес.
Мал. 14.4. Зниження гетерозиготности в популяції в залежності від ступеня інбридингу:
I - самооплодотворение; 2 - брати х сестри; 3 - полубратья х полусестри;
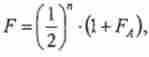
Для характеристики ступеня інбридингу служить коефіцієнт інбридингу (/ -). У більш загальній формі величина Р дозволяє визначити ймовірність того, що два алелі будь-якого гена даної особини ідентичні за походженням, т. е. були отримані від загального предка. Коефіцієнт інбридингу визначається за формулою: Т7 = (1/2) ", де п - число особин в лінії родоводу, що йде від інбредних нащадка до загального предка і назад. Наприклад, в родоводі

тварина / - "має коефіцієнт інбридингу (1/2)3, оскільки в лінії до загального предка -В- три особи: Е, ВПО. Якщо загальний предок (наприклад, А) сам інбредних, то на його коефіцієнт інбридингу роблять поправку
де РА - коефіцієнт інбридингу загального предка А.
Отже, інбридинг розкладає популяцію на безліч індивідуальних, відмінних один від одного ліній, гомозиготних за більшістю генів.
До протилежного ефекту призводить аутбридинг, або неродинне схрещування. Відсутність спорідненості між особинами одного виду - поняття умовне. Найчастіше поняття «аутбридинг» застосовують по відношенню до схрещування особин з різних популяцій. Аутбридинг підвищує рівень гетерозиготності потомства і гетерогенності популяції.
У А, при схрещуванні вирівняних інбредних ліній гібридні нащадки зазвичай також представляють вирівняний матеріал, що відповідає закону Г. Менделя про однаковості гібридів Р. Подальше розщеплення створює гетерогенність.