Головна
Cоціологія || Гуманітарні науки || Мистецтво та мистецтвознавство || Історія || Медицина || Науки про Землю || Політологія || Право || Психологія || Навчальний процес || Філософія || Езотерика || Екологія || Економіка || Мови та мовознавство
ГоловнаМедицина → Біохімія. Частина 2
««   ЗМІСТ   »»

СТРУКТУРА І ФУНКЦІЇ ЖОВЧНИХ КИСЛОТ

Основними емульгаторами ліпідів в тонкому кишечнику є жовчні кислоти, що містяться в вигляді натрієвих солей в жовчі, що надходить в дванадцятипалу кишку із жовчного міхура. У жовчі міститься ряд різних жовчних кислот, які в печінці утворюються з холестеролу. За хімічною будовою жовчні кислоти є похідними холановой кислоти і відрізняються один від одного числом і положенням гідроксигруп:

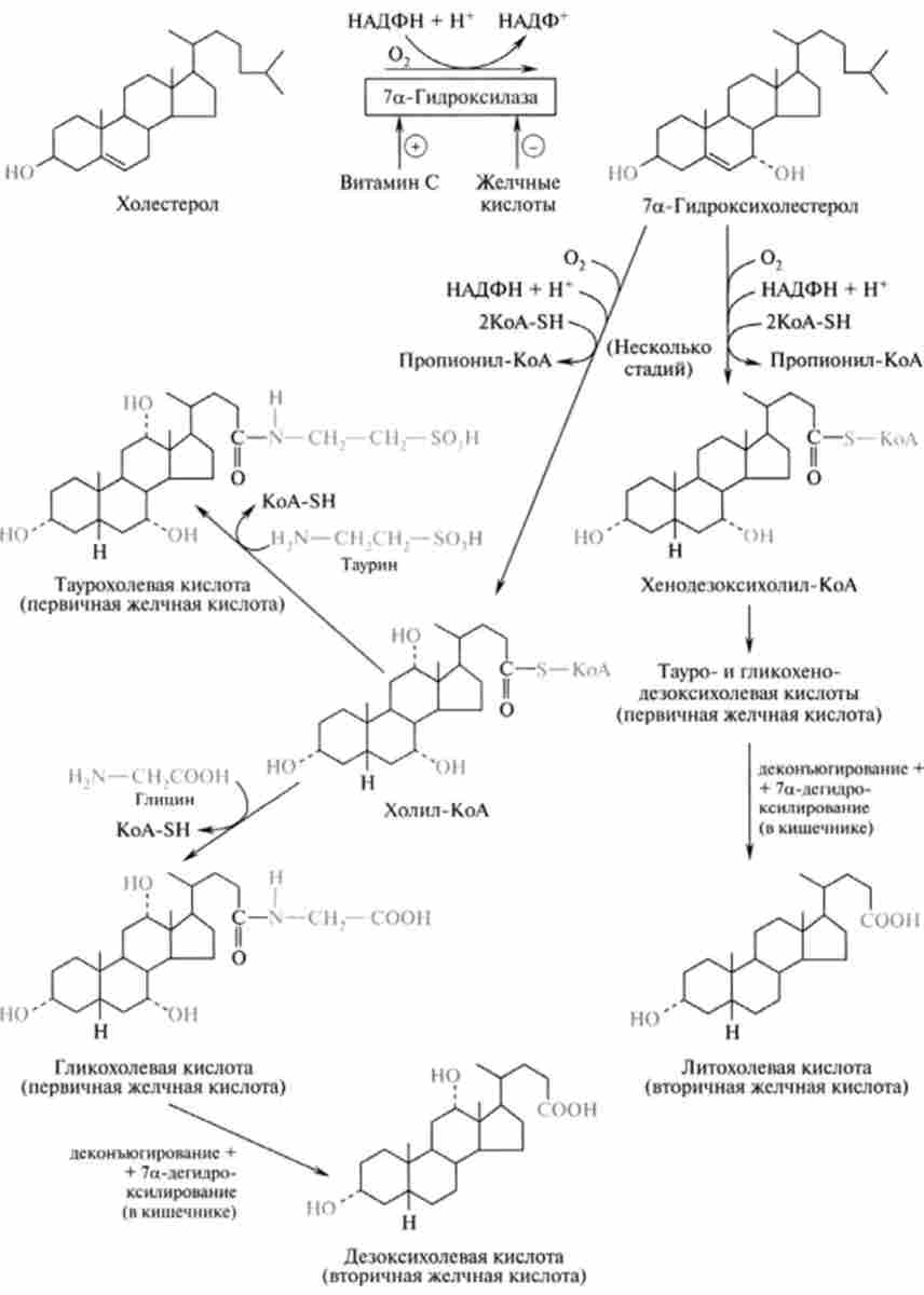
Схема синтезу жовчних кислот

Мал. 23.2. Схема синтезу жовчних кислот:

© - інгібітор ферменту

Схема утворення жовчних кислот з холестерину приведена на рис. 23.2, хімізм реакцій представлений на рис. 23.3.

Першим етапом цього процесу є гідроксилювання холестерину під дією ферменту 7а-гідроксилази за участю кисню, НАДФН і цитохрому Р-450. Це основна регуляторна реакція синтезу жовчних кислот: фермент активується вітаміном С і зниження по типу зворотного зв'язку жовчної кислотою. На цій стадії йде поділ шляхів синтезу жовчних кислот: одна гілка веде до синтезу холевой кислоти (3,7,12-трігідроксі- холановая кислота), інша - до утворення хенодезоксихолевої кислоти (3,7-дігідроксіхолановая кислота). Реакції синтезу обох кислот включають гідроксилювання і укорочення бічного ланцюга в 17-му положенні за рахунок відщеплення пропіоніл-КоА. Вважають, що синтезовані жовчні кислоти знаходяться в печінці у вигляді тіоефірів КоА: холіл- або хенодезоксіхоліл-КоА.

У жовч кислоти надходять вже у вигляді кон'югатів з таурином і гліцином (парних жовчних кислот): тауро- або глікохолевой кислота і тауро- або глікохенодезоксіхолевая кислота. У людини співвідношення кон'югатів жовчних кислот з гліцином і таурином становить приблизно 3: 1. Кон'югати холевой і хенодезоксихолевої кислот відносять до первинних жовчних кислот. У кишечнику під дією кишкових бактерій відбувається іхдекон'югіро- вання і 7а-дегідроксілірованіе і утворюються так звані вторинні жовчні кислоти: з холевой - дезоксихолева (3,12-дегідроксіхолановая кислота) і з хенодезоксихолевої - літохолевая (3-гідроксіхолановая кислота).

Крім ролі емульгаторів, жовчні кислоти в кишечнику виконують в перетворенні ліпідів інші важливі функції: сприяють всмоктуванню продуктів расшепленія жирів і активують панкреатичну ліпазу.

Крім жовчних кислот, солі жирних кислот в комплексі з моноацілглі- церола і ненасиченими жирними кислотами, будучи повсрхностно-ак

Біосинтез жовчних кислот

Мал. 23.3. Біосинтез жовчних кислот: @ - активація; © - інгібування 7а-гідроксилази нормативними речовинами, також сприяють емульгуванню жиру і стабілізації утворилася емульсії.

Панкреатична ліпаза (КФ 3.1.1.3) - це глікопротеїн з молекулярною масою 48 kDa, секретується підшлунковою залозою у вигляді неактивного попередника - проліпази, що має pH-оптимум при 8,0-9,0. У просвіті кишечника відбувається активація проліпази шляхом утворення комплексу з низькомолекулярних білком - коліпази (10 kDa) в молярному співвідношенні 2: 1, що сприяє зрушенню оптимуму pH від 9,0 до 6,0, т. Е. До того значення pH в верхньому відділі кишечника, яке буває зазвичай після прийому пиши. Відомо, що активує і стабілізуючу дію жовчних кислот на панкреатичну ліпазу, хоча механізм його залишається неясним.

Специфічність дії ліпази визначається положенням ефірних зв'язків в триацилгліцеролів. Фермент активний по відношенню до гідролізу зовнішніх ефірних зв'язків в а (1) - і а '(3) -становище, в результаті чого утворюється (5 (2) -моноацілгліцерол. Гідроліз ефірного зв'язку в p-положенні 2-моно- ацілгліцероли йде вже більш повільно і переважно каталізується липазой, секретируемой залозами тонкого кишечника, або після ізомеризації Р (2) -моноацілгліцсрола при дії панкреатичної ізомерази в а (1) -моноацілгліцсрол, панкреатична ліпаза повністю завершує гідроліз триацилгліцеролів до кінцевих продуктів - гліцерину і жирної кислоти:

Таким чином, гідроліз тріацілгліцсролов йде поступово, і тільки частина 2-моноацілгліцеролов (не більше 50%) гідролізується до гліцерину і жирних кислот.

  1. Теорії старіння - вікова фізіологія і психофізіологія
    Фізіологічні механізми старіння складні і різноманітні, і на сьогоднішній день немає єдиної теорії, повністю пояснює феномен старіння, але існує безліч взаємопов'язаних теорій. згідно теоріям програмованого старіння , еволюція закріпила функціонування живого організму тільки на період його
  2. Теорії сну - фізіологія вищої нервової діяльності та сенсорних систем
    Існує кілька підходів до пояснення причин виникнення сну: 1) судинна (циркуляторна) теорія; 2) гуморальні теорії; 3) нервові теорії; 4) інформаційна теорія. Першою на початку XX ст. сформувалася судинна ( циркуляторная ) теорія сну. Її прихильники пов'язували сої зі зміною кровотоку в мозку
  3. Теоретичні основи клініки і діагностики хвороб пульпи зуба. Класифікації хвороб пульпи зуба і періапікальних тканин. Обстеження пацієнта, анатомо-фізіологічні особливості пульпи зуба - стоматологія. Ендодонтія
    Мети. Вивчити анатомічні та фізіологічні особливості пульпи зуба, класифікації хвороб пульного, етіологію, патогенез і патологічну анатомію пульпітів. Вивчити методи обстеження пацієнта з хворобами пульпи зуба і періапікальних тканин. Мал. 1.1. Пульпа зуба. Забарвлення гематоксиліном і еозином
  4. Техніка накладення імобілізуючих шин і пов'язок при пошкодженнях і переломах кісток - сестринська справа в хірургії
    При наданні першої допомоги у випадках травм особливе значення мають створення спокою ушкодженому органу, підготовка хворого до транспортування. Спокій зменшує або усуває біль і тим самим запобігає розвитку травматичного шоку або зменшує його тяжкість, зменшує небезпеку додаткових ушкоджень
  5. Свищі підшлункової залози - факультетська хірургія
    Свищом підшлункової залози називається патологічна зв'язок протоковой системи залози із зовнішнім середовищем (Зовнішній свищ) або внутрішніми порожнистими органами або серозними порожнинами (Внутрішній свищ). Ряд питань, пов'язаних з панкреатичними свищами, розглядався при викладі матеріалу
  6. Сучасна ендоскопія - факультетська хірургія
    Ендоскопічні методи дослідження травного тракту відомі протягом останніх 50 років. Необхідність обстеження пацієнтів з метою виявлення різних патологічних станів сприяє сталому розвитку ендоскопічної техніки і методів дослідження хворих. Найбільший розвиток у світовій практиці ендоскопічні
  7. Структурно-функціональна організація кістки, будова кісткової тканини - вікова анатомія і фізіологія. Т.2 опорно-рухова і вісцеральні системи
    Кістки, за винятком суглобових поверхонь, покриті тонкою сполучнотканинною оболонкою - окістям , в якій проходять судини і нерви, які проникають в кістку через спеціальні отвори. У внутрішньому шарі іадкостніци лежать утворюють кісткову тканину клітини. За рахунок поділу цих клітин кістка
  8. Структурна і генетична організація хромосом і екстрахромосомних молекул ДНК, хромосоми вірусів і прокаріотів - генетика в 2 Ч. Частина 1
    Генетичний матеріал еукаріот має складну надмолекулярну організацію, яка визначає формування хромосом. Крім того, в клітинах різних організмів виявлені екстрахромосомние (внеядерние, цитоплазматичні) молекули ДНК. Генетичний матеріал зрілої вірусної частки (віріона) представлений однією молекулою
© 2014-2022  ibib.ltd.ua