Головна
Cоціологія || Гуманітарні науки || Мистецтво та мистецтвознавство || Історія || Медицина || Науки про Землю || Політологія || Право || Психологія || Навчальний процес || Філософія || Езотерика || Екологія || Економіка || Мови та мовознавство
ГоловнаМедицина → біохімія людини
««   ЗМІСТ   »»

СИНТЕЗ (АНАБОЛІЗМ) БІЛКІВ

Білки, що функціонують в організмі, постійно руйнуються в результаті окислення входять до них амінокислот. Такі білки піддаються деполімеризації, і окислені амінокислоти виводяться з організму.

Спад зруйнованих білків становить приблизно 100 г на добу в розрахунку на «середнього» людини (див. Рис. 8.1). Це всього близько 1% від загальної маси білка (~ 10 кг) в організмі, але для підтримки нормальної життєдіяльності спад зруйнованих білків повинна заповнюватися еквівалентним кількістю знову синтезованих білків тієї ж природи. Це означає, що з їжею в організм має надходити приблизно така ж кількість білків для ресинтезу втрачених.

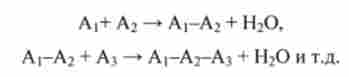
Сигнал про необхідність утворення відсутнього білка надходить в клітку на відповідний ген нуклеїнової кислоти, що кодує цей білок, і починається багатостадійний процес синтезу.

Синтез індивідуальних білків є з'єднанням А |, А2 , A3 і т. Д. В поліпептидний ланцюг (див. Розд. 8.2) в генетично заданій послідовності:

  1. Слухова сенсорна система - вікова анатомія і фізіологія
    Орган слуху - вухо - складається з трьох відділів: зовнішнього, середнього і внутрішнього вуха (рис. 5.19). Зовнішнє і середнє вухо - це допоміжні структури, що забезпечують уловлювання звуку і спрямоване проведення його до слухових рецепторів, що знаходяться у внутрішньому вусі. Там же знаходяться
  2. Слухова компетенція - вікова фізіологія і психофізіологія
    Здатність чути звуки розвивається ще до народження дитини. В період новонародженості слухова система вдосконалюється - розширюється діапазон сприйманих звуків, підвищується здатність чути і т. Д. Новонароджені здригаються при гучних звуках, повертають голову на звук голосу. Від низькочастотних
  3. Складні білки - біохімія
    Як правило, ці білки класифікують за небілкова компоненту. Ліпопротеїни складають велику групу складних білків. Ці макромолекули в значних кількостях знаходяться в мітохондріях, з них в основному складається ендоплазматичнийретикулум, їх виявляють і в плазмі крові, і в молоці. Як правило,
  4. Склад і властивості плазми крові - вікова анатомія і фізіологія. Т.2 опорно-рухова і вісцеральні системи
    До основних компонентів плазми відносяться вода (90-92%), білки (7-8%), мінеральні речовини (0,9%) і глюкоза (0,1%). Плазма крові має слаболужну реакцію, її pH = 7,36. У плода та новонародженого реакція крові зміщена в кислу сторону, що пов'язано з особливостями їх обміну речовин. До мінеральних
  5. Скелетна м'язова тканина - цитологія, гістологія і ембріологія
    Поперечно-смугаста м'язова тканина утворює м'язи голови, тулуба, кінцівок, глотки, гортані, жувальних м'язів, мови, краниального відділу стравоходу. За рахунок скелетної м'язової тканини тварина може здійснювати довільні руху. Кістякова м'язова тканина розвивається з міотомів сегментированного
  6. Система транспорту гормонів - фізіологія людини і тварин
    Багато гормони присутні в крові виключно у зв'язаному стані. Цей зв'язок забезпечують білки, умовно звані транспортними. Тривалий час домінувала точка зору, згідно з якою транспортні білки є тими, які циркулюють в крові фрагментами мембранних рецепторів до відповідних гормонів, однак подальші
  7. Сіра і біла речовина нервової системи - нервова система: анатомія, фізіологія, Нейрофармакологія
    Нагадаємо, що сіра речовина утворено тілами і короткими відростками нейронів (дендритами). Біла речовина складають нервові волокна, т. Е. Довгі відростки. В ЦНС це - аксони; на периферії - не тільки аксони, але також дендрити псевдоуніполяріих клітин. Білий колір волокнам надає мієлін, оскільки
  8. Синтез ДНК на матриці РНК - біохімія людини
    Визначним досягненням біохімії нуклеїнових кислот є відкриття в складі онковирусов (віруси, що викликають рак) ферменту зворотної транскриптази або ревертази. Ревертаза (РНК-залежна ДНК-полімераза) каталізує зворотний синтез ДНК на матриці РНК. Багато РНК-містять онкогенні віруси містять ревертазу
© 2014-2022  ibib.ltd.ua