Головна
Cоціологія || Гуманітарні науки || Мистецтво та мистецтвознавство || Історія || Медицина || Науки про Землю || Політологія || Право || Психологія || Навчальний процес || Філософія || Езотерика || Екологія || Економіка || Мови та мовознавство
ГоловнаМедицина → Біохімія. Частина 2
««   ЗМІСТ   »»

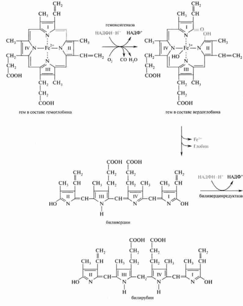
РОЗПАД ГЕМОГЛОБІНУ

Термін життя еритроцитів 110-120 днів; щодоби з зруйнувалися еритроцитів звільняється 8-9 г гемоглобіну. При руйнуванні гемоглобіну його білкова частина (Глобино) гідролізується до амінокислот, які можуть використовуватися в білковому синтезі; залізо гема включається до загального пулу і також може знову використовуватися. Порфириновая частина гема (без заліза) деградує необоротно до утворення жовчних пігментів, які виводяться з організму.

Постарілі еритроцити фагоцитуються макрофагами в основному в селезінці, а також в кістковому мозку і печінки. Гемоглобін, що звільняється з еритроцитів в крові, зв'язується з гаптоглобіну (а2-глобулін плазми крові) і транспортується в клітини рстікулоендотсліальной системи (РЕС), головним чином селезінки.

Освіта жовчних пігментів

Першою реакцією розпаду гемоглобіну є розрив а-метинового зв'язку між піррольних кільцями I і II, окислення метиленової групи до СО і розкриття тетрапіррольних кільця. Утворюється зелений пігмент вердоглобін, в якому ще містяться залізо і глобин. Ця реакція каталізується складної ферментативної системою - гемоксигенази, деціклізі- рующей в присутності НАДФН і 02. Далі, мабуть, спонтанно відбувається відділення від вердоглобіна заліза (Fe3+), Білкового компонента і освіту першого жовчного пігменту - біліверліна, пофарбованого в зелений колір (рис. 25.5).

У ссавців НАДФН-залежна білівердінредуктаза відновлює метенільний місток між піроліл IV і III в метиленовую групу, в результаті чого утворюється жовтий пігмент білірубін.

Метаболізм білірубіну і його елімінація з організму включають три процесу:

Освіта жовчних пігментів в рстікулоенлотеліальних клітинах

Мал. 25.5. Освіта жовчних пігментів в рстікулоенлотеліальних клітинах

  1. Розвиток середнього мозку - вікова анатомія і фізіологія
    У середньому мозку значні зміни в процесі розвитку пов'язані з утворенням спеціалізованих первинних рефлекторних центрів - зорових, слухових, а також пов'язаних з тактильною, температурною і больовою чутливістю. До кінця третього місяця ембріонального розвитку на рівні середнього мозку добре
  2. Розвиток щитовидної залози - вікова анатомія і фізіологія
    Щитовидна залоза розвивається з випинання нижньої частини стінки глотки на третьому-четвертому тижні внутрішньоутробного розвитку. На сьомому тижні в ній починається формування фолікулів, до 11-му тижні вони вже здатні накопичувати йод, а в кінці третього місяця пренатального розвитку починається
  3. Розвиток периферичного відділу нервової системи - вікова анатомія і фізіологія
    Розвиток периферичних нервів, що складаються з рухових, чутливих і вегетативних волокон, відбувається не одночасно. Їх формування у зародка починається зі зростання від центру до периферії аксонів мотонейронів передніх рогів спинного мозку і рухових ядер стовбура головного мозку. Кінчик нервового
  4. Розвиток органів дихання - цитологія, гістологія і ембріологія
    Органи дихання розвиваються в тісному контакті з органами травлення. Носова порожнина утворюється при поділі твердим небом первинної порожнини на ротову і носову порожнини. Ектодерма, що покриває первинні ніздрі, через безліч тонких нюхових нервів контактує з випинаннями півкуль кінцевого
  5. Розвиток нервової системи - цитологія, гістологія і ембріологія
    Одноклітинні організми і губки сприймають роздратування клітинної мембраною або ектодермою. Надалі деякі з цих клітин спеціалізувалися для виконання функцій сприйняття роздратування. Внаслідок цього з'явилася дифузна нервова система, представляє собою мережу клітинних елементів, пов'язаних
  6. Розвиток мови - вікова фізіологія і психофізіологія
    Розвиток мови в період раннього віку є ще одним значущим придбанням. У цей період формується власне активна мова дитини. Перші слова з'являються на основі белькотіння до кінця першого року, але їх виникнення носить строго індивідуальний характер як за часом появи (від 10-11 до 12-15 місяців),
  7. Розвиток інших форм поведінки - вікова анатомія і фізіологія
    Існує чимало визначень різних форм поведінки. Одне з них пов'язано з описом окремих елементів поведінки відповідно до організації окремих функцій організму. Таку класифікацію найчастіше використовують в етологичеських дослідженнях. етологія (Від грец. etho - характер, вдачу) - наука про біологічні
  8. Розподіл найважливіших біогенних елементів в організмі людини - біохімія людини
    Органи людини по-різному концентрують в собі різні хімічні елементи, т. Е. Мікро- і макроелементи нерівномірно розподіляються між різними органами і тканинами. Більшість мікроелементів накопичується в печінці, кісткової і м'язової тканини. Ці тканини є основним депо (запасником) для багатьох
© 2014-2022  ibib.ltd.ua