Головна
Cоціологія || Гуманітарні науки || Мистецтво та мистецтвознавство || Історія || Медицина || Науки про Землю || Політологія || Право || Психологія || Навчальний процес || Філософія || Езотерика || Екологія || Економіка || Мови та мовознавство
ГоловнаМедицина → біохімія
««   ЗМІСТ   »»

РЕГУЛЯЦІЯ МІТОХОНДРІАЛЬНОГО ОКИСЛЕННЯ

Факторами, що лімітують швидкість дихання, є доступність кисню, АДФ, субстратів, можливості і стан самої дихального ланцюга при насичують концентраціях всіх субстратів і компонентів.

При наявності всіх компонентів дихального ланцюга і субстратів, за винятком АДФ, поглинання 02 (Дихання) не спостерігається. Після додавання АДФ починається як дихання, так і синтез АТФ. Коли ви будете витрачати АДФ швидкість дихання знижується і зовсім припиняється, коли весь АДФ перетворився в АТФ, т. Е. Окислення і фосфорилювання жорстко пов'язані.

Роль АДФ вдихательная контролі

Мал. 15.6. Роль АДФ вдихательная контролі

Залежність мітохондріального окислення (дихання) від концентрації АДФ отримала назву дихального контролю (Рис. 15.6).

Отже, якщо клітина знаходиться в стані метаболічної активності, що супроводжується витратою АТФ, це призводить до накопичення АДФ, який, в свою чергу, активує як процеси біологічного окислення, так і синтезу АТФ.

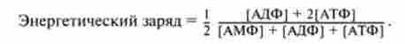
Мітохондрії мають високу спорідненість до АДФ, вони продовжують фосфорилирование АДФ до тих пір, поки не буде досягнута висока величина відносини АТФ / АДФ. Для кількісної оцінки енергетичного стану клітини Д. Аткинсоном взнавств розрахунок енергетичного заряду системи АТФ-АДФ-АМФ за рівнянням

Якщо все що містяться в клітці аденозінфосфати знаходяться в формі АТФ, то система «заповнена» до межі і її енергетичний заряд дорівнює 1,0. Якщо аденозінфосфати знаходяться в формі АМФ, то система не містить високоенергетичних зв'язків і її заряд дорівнює 0. Від величини енергетичного заряду залежать швидкості реакцій циклу трикарбонових кислот та інших процесів, пов'язаних з утворенням або споживанням енергії, оскільки «заповнення» системи АТФ-АДФ-АМФ високоенергетичними фосфатними зв'язками лежить в основі аллостерічеськой регуляції активності ферментів, які контролюють швидкості цих процесів.

Таким чином, механізми трансформації вільної енергії окислення субстратів є не тільки ефективними (- 42%), але і строго контрольованими. Частина вільної енергії (більше 50%), яка не кумулюється в формі макроергів (АТФ), звільняється у вигляді теплоти і у теплокровних тварин використовується для підтримки температури тіла.

  1. Ріст і фізичний розвиток дитини - вікова фізіологія і психофізіологія
    Шкільний вік (від 7 до 15-16 років) підрозділяють на молодший шкільний (з 7 до 11-12 років) і підлітковий (з 12 до 16 років) періоди розвитку. Початок навчання в школі - один з найважчих етапів в житті дитини, що вимагає глобальної перебудови і фізичних ресурсів, і психічних можливостей, і
  2. Резервні полісахариди - біохімія
    Основним резервним полисахаридом в клітинах рослин є крохмаль, а в клітинах тварин - глікоген. Крохмаль є сумішшю полісахаридів - амілози і амілопек- твань. Амилоза - лінійний полімер з а- (1 »4) -глікозидними зв'язками між залишками D-глюкопіраноз: Амілопектин відрізняється від
  3. Рецептори - вікова анатомія і фізіологія
    Високоспеціалізовані чутливі освіти, сприймають і перетворюють стимули зовнішнього і внутрішнього середовища в нервові імпульси, називаються рецепторами (від лат. receptor - приймаючий). Рецептори, розташовані на поверхні тіла в шкірі, слизових оболонках, сприймають зовнішні сигнали і називаються
  4. Ретикулярна формація - нервова система: анатомія, фізіологія, Нейрофармакологія
    Виходячи зі сказаного в попередньому параграфі, виникає питання: якщо в довгастому мозку і мосту нейрони рогів СМ перетворюються в ядра черепних нервів, то чому ж стає його проміжне ядро? Нагадаємо, що ця область є найбільш медіальної частиною сірої речовини СМ і найважливішим центром, який
  5. Реплікація ДНК - генетика в 2 Ч. Частина 1
    Розшифровка структури молекули ДНК допомогла пояснити і принцип її реплікації (подвоєння) в клітці. Цей принцип полягає в тому, що кожна з двох полінуклеотидних ниток молекули ДНК служить в якості програми (матриці) для синтезу нової (комплементарної) нитки. В результаті на основі
  6. Рекомбінація перемикання., перемикання класів в результаті диференціального (альтернативного) сплайсингу - біохімія частина 2.
    В даний час більшість молекулярних механізмів перемикання класів імуноглобулінів повністю Мал. 30.11. Формування функціонально активних генів, КОЛІР освіту важкого ланцюга Ig ідентифіковано. Сигнали на перемикання класів надходять від Т-кле- струм, субпопуляції CD4, а також від цитокінів
  7. Регуляція споживання їжі. Голод - вікова анатомія і фізіологія. Т.2 опорно-рухова і вісцеральні системи
    Процес харчування і характер злиденні, споживаної людиною, відповідають кліматичним умовам, в яких він живе, віком, типом і інтенсивності роботи. Недолік або відсутність злиденні викликає почуття голоду, яке супроводжується станом дискомфорту. Харчова мотивація , або голод , направляють людини
  8. Регуляція роботи серця - фізіологія людини і тварин
    Регуляція роботи серця забезпечує відповідність його продуктивності мінливих потреб організму, а також захищає серце від надмірних навантажень. Численні регуляторні механізми можна розділити на міогенні, нейрогенні і гуморальні. Міогенні механізми регуляції серця реалізуються за рахунок властивостей
© 2014-2022  ibib.ltd.ua