| Головна |
| «« | ЗМІСТ | »» |
|---|
До гетерополісахарид, що мають важливе значення для формування і нормального функціонування сполучної тканини, можна віднести гіалуронову кислоту (полімерна ланцюг з чергуються залишками D-глюкуронової кислоти і N-ацетил-О-глюкозаміну).
Ще одну групу структурних і захисних полісахаридів складають глікозіт іногяікани, або кислі мукополісахариди. Зазвичай вони приєднуються до білків, утворюючи протеоглікани, т. е. що складаються з полісахаридів і білків з'єднання, в яких на частку полісахариду припадає основна частина молекули - зазвичай більше 95%. На відміну від протеогліканів в глікопротеїну, також складаються з полісахаридів і білків, ббльшую частина молекули становить білок.
Глікозаміноглікани утворюються з повторюваних дісахарідних залишків, кожен з яких представляє собою похідне аміногексози - зазвичай D-глюкозаміну або D-галактозаміну. Щонайменше один з цукрів в періодичному дисахаридного залишку глікозаміноглікану містить кислотну карбоксильную або сульфатну групу, яка несе при pH 7 негативний заряд.
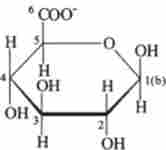
Прикладом кислої гексози може служити D-глюкуронати, що утворюється з D-глюкози шляхом її окислення по шостому атому вуглецю. Карбоксильная група в положенні 6 дисоціює при pH, близьких до 7:
Глікозаміноглікани відносяться до гетерополісахарид, так як вони складаються з чергуються залишків моносахаридів двох різних типів (табл. 8.15, рис. 8.16).
Таблиця 8.15
Моносахаридними компоненти полісахаридів сполучної тканини
|
полісахарид |
компоненти |
|
Гіалуронова кислота |
D-глюкуронати + И-ацетил-О-глюкозамін |
|
Хондроітин |
D-глюкуронати + И-ацетил-О-галактозамин |
|
дерматансульфат |
D-ідуронат + М-ацетил-В-галактозамин-4-сульфат |
У назві «мукополісахариди» приставка муко вказує на те, що ці полісахариди були отримані вперше з муцина - змащуючого протеогликана, що міститься в слизових виділеннях. Згодом термін «кислі мукополісахариди» став використовуватися стосовно до кислих полісахаридів різних тканин хребетних.
Протеоглікани присутні в гелеобразном основній речовині ( «міжклітинному цементі»), що заповнює в більшості тканин простір між клітинами. Крім того, вони містяться в хрящах, сухожиллях і шкірі, а також в синовіальної рідини, що виконує функцію мастила в суглобах.
Мукополісахариди ділять на нейтральні, які складаються з N-ацетил-D-глюкози і на і манози, і кислі - що містять велику кількість уронових кислот і сульфатів. У слизу завжди міститься багато мукополісахаридів. Вони утворюються в результаті багаторазового повторення структурних одиниць з дисахаридів, отриманих з'єднанням гексозних аминосахаров з уроновая кислотами.
Мал. 8.16. Моносахаридними компоненти полісахаридів сполучної тканини
Гіалуронова кислота - це глікозаміноглікан міжклітинної основної речовини тканин тварин, вона виявлена в підшкірному шарі і склоподібному тілі. Складається з повторюваних одиниць дисахарида, в якому D-глюкуронової кислоти утворює з N-ацетил-О-глюкозаміном гликозидні зв'язку:
Гіапуроновая кислота утворює дуже в'язкі, гелевидні розчини. Вона часто зустрічається в поєднанні з іншими глікозаміногліканами. В якості лікарського препарату гіалуронова кислота використовується при лікуванні артритів - захворювань суглобів.
Секретується деякими патогенними бактеріями фермент гіалуронідаза здатний гідролізувати гликозидні зв'язку гіалуронової кислоти і тим самим полегшувати проникнення бактерій в тканини.
фермент гиалуронидаза хребетних в процесі запліднення гидролизует глікозаміноглікани зовнішньої оболонки яйцеклітини, роблячи її проникною для сперматозоїда.
У протеогликанами хрящів молекули гликозаминогликанов ковалентно пов'язані з білком.
Типовий протеогликан хрящової тканини містить близько 150 полісахаридних ланцюгів з молекулярною масою 20 000 кожна; вони (у вигляді бічних ланцюгів) ковалентно приєднані до «серцевинним» поліпептидам. Такі протеоглікани є сильно гідратованих структури.
мукополісахарид хондроитин - основний полісахарид протсогліканов хряща. За складом майже ідентичний гіалуронової кислоти, але замість залишків М-ацетил-О-глюкозаміну він містить М-ацетил-Е-галактозамин. До його складу входять сірчанокислий ефірні групи - хондроітінсульфати А, В і С. Хондроі- тінсульфати А і С містять D-глюкуронової кислоти, а хондроитинсульфат В (дерматансульфат) - L-ідуроновая кислоту.
дерматансульфат шкіри також містить чергуються залишки двох різних цукрів (табл. 8.15).
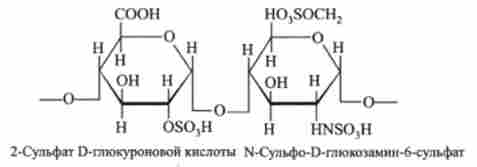
Ще один важливий глікозаміноглікан - гепарин:

Гепарин утворюється лише в клітинах, присутніх в вистилає шарі стінок артерій. До його складу входять повторювані одиниці із залишків шести цукрів, кожна з яких представляє собою послідовність чергуються залишків сульфопроізводние М-ацетил-Е-глюкозаміну і D-ідуроната. Він містить велику кількість сульфатів.
Гепарин - потужний інгібітор згортання крові; він запобігає утворенню тромбів в циркулюючої крові. Виділений з легеневої тканини гепарин використовується в медицині для запобігання згортання донорської крові, а також для попередження згортання крові в судинах при різних патологічних станах, наприклад після нападів стенокардії і важких травм.
Більшість вуглеводів містить сіалові кислоти, сульфати, уроновие кислоти. завдяки чому клітинна поверхня в нейтральному середовищі має негативний електричний заряд. При виникненні міжклітинних зв'язків, мабуть, важливу роль відіграють іони Са2 які можуть пов'язувати дві негативно заряджені групи на поверхні сусідніх клітин. Тому при поділі клітин їх обробляють реагентом ЕДТА, що зв'язує Са2*. Однак тільки дією іонів Са2+ неможливо пояснити, з чим пов'язана тканинна специфічність клітин при утворенні контактів.
У нормальних клітинах печінки поверхневий шар містить гепарансульфат як основний компонент. При злоякісної пухлини в печінці підвищується вміст хондроінтінсульфата, а зміст гепарансульфату падає. Зчеплення клітин при цьому зменшується, що, можливо, пов'язано з різним розподілом в нормальних і ракових клітинах мукополісахаридів, які є центрами ініціації злипання клітин під дією фактора конканавалін А.
У табл. 8.16 відображені загальні біологічні функції вуглеводів.
Біологічні функції вуглеводів
Таблиця 8.16
|
вуглеводи |
функція |
|
моносахариди |
Відновлювальні хімічні реакції і клітинне паливо |
|
полісахариди: |
|
|
лактоза і мальтоза |
Відновлюючі цукру |
|
сахароза |
Основний проміжний об'єкт фотосинтезу. У багатьох расгеній цукру транспортуються з листя до інших частин рослини в формі сахарози |
|
крохмаль |
Форма запасання палива в клітинах рослин |
|
глікоген |
Форма запасання палива в клітинах тварин |
|
целюлоза |
Несучий кістяк рослин (стебла, гілки, стовбури). Жуйні тварини Moiyr використовувати целюлозу як паливо, оскільки в їхніх шлунках виробляється целлюлаза |
|
глікозаміноглікани |
Освіта протеогліканів шляхом приєднання білків |
|
гепарин |
Потужний інгібітор згортання крові |
|
протеоглікани |
Роль змащення в суглобах |
|
Глікопротсіни: |
|
|
фибронектин |
Забезпечення зв'язку клітин один з одним |
|
антифризні білок |
Зниження температури замерзання водного середовища організму, що дозволяє переносити рибам низьку температуру полярних морів |
|
гликофорин |
Фактор антигенної активності, рецептор вірусу грипу |
|
пегггідоглікан |
Структурний компонент клітинних стінок бактерій |