Головна
Cоціологія || Гуманітарні науки || Мистецтво та мистецтвознавство || Історія || Медицина || Науки про Землю || Політологія || Право || Психологія || Навчальний процес || Філософія || Езотерика || Екологія || Економіка || Мови та мовознавство
ГоловнаМедицина → Біохімія. Частина 2
««   ЗМІСТ   »»

ПЕРЕТВОРЕННЯ ВУГЛЕЦЕВОГО СКЕЛЕТА АМІНОКИСЛОТ

Азот амінокислот, відщеплюється, як правило, на ранніх стадіях катаболізму, включається до загального метаболічний пул. Залежно від потреб організму він може рсутілізіроваться в анаболічних процесах або включатися в кінцевий продукт обміну азоту - сечовину і виділятись з організму.

Безазотисті вуглецеві залишки амінокислот утворюють кислоти, найчастіше за все кетокислот, які далі деградують за загальними шляхах катаболізму інших окислених вуглеводнів (рис. 24.7).

Метаболіти, які утворюються з вуглецевих скелетів амінокислот, або безпосередньо включаються в цикл трикарбонових кислот, або перетворюються в піруват і через ацетил-КоА деградують до утворення кінцевих продуктів - С02 і Н20. У залежності від потреб організму безазотистих метаболіти можуть включатися в синтез глюкози (Гликогенние амінокислоти) або в синтез вищих жирних кислот (Кетогенні амінокислоти).

Гликогенние і кетогенні амінокислоти

До глікогену амінокислот відносяться тс амінокислоти, при катаболизме яких утворюються безпосередні попередники глюкози, залучаємо до процесу глюконеогенезу - піруват, оксалоацетат, фосфоеноілпіруват (таких амінокислот 14), або в жири (кетогенні, одна амінокислота), або і в вуглеводи, і в жири ( гликогенние і кетогенні, 5 амінокислот). Таким чином, класифікація

Метаболіти, які утворюються з вуглецевих скелетів амінокислот

Мал. 24.7. Метаболіти, які утворюються з вуглецевих скелетів амінокислот

амінокислот за ознакою кстогснності або глікогену досить умовна, оскільки інтермедіати деяких з них можуть включатися як в синтез вуглеводів, так і жирів (табл. 24.2).

На рис. 24.8 представлені шляхи окисного розпаду амінокислот з розгалуженим ланцюгом - кетогенной амінокислоти лейцину, а також валина і ізолейцину, які є одночасно кетогенная і глікогену. В процесі метаболічних перетворень валина відбувається утворення сукцинил-КоА, який через цикл ТКК і за участю деяких інших ферментів може перетворитися в піруват, а потім в глюкозу. У той же час лейцин дає безпосередньо кетопродукт ацетоацетат і, крім того, аце- тил-КоА, з якого також може утворюватися ацетоацетат. Ізолейцин дає аіетіл-КоА і пропіоніл-КоА. Через метил малої іл-КоА пропи- ОНИЛ-КоА перетворюється в сукцинил-КоА, і, отже, його слід вважати глікогену, а так як ацетил-КоА - кетогенная з'єднання, то изолейцин можна віднести одночасно до обох категорій.

Таблиця 24.2. Гликогенние і кетогенні амінокислоти

гликогенние

кетогенні

Гликогенние і кетогенні

аланин

гістидин

лейцин

ізолейцин

аргінін

метіонін

лізин

аспарагінова кислота

пролин

феніл аланин

цистеїн

Серін

тирозин

глутамінова кислота

треонін

триптофан

Глінін

глутамин

аспарагин

валін

Шляхи катаболізму амінокислоті розгалуженим ланцюгом

Мал. 24.8. Шляхи катаболізму амінокислоті розгалуженим ланцюгом

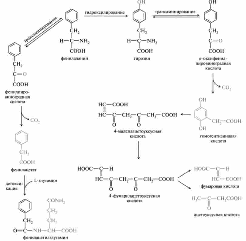
Шляхи катаболізму ароматичних амінокислот

Мал. 24.9. Шляхи катаболізму ароматичних амінокислот

До групи амінокислот, безазотистих залишки яких здатні метабо- лизировать як по шляху вуглеводного, так і ліпідного обміну, відносяться ароматичні амінокислоти - триптофан, фенілаланін, тирозин, схема шляхів катаболізму яких приведена на рис. 24.9.

Метаболічні перетворення триптофану призводять до утворення різних важливих дзвінків, в тому числі серотоніну - речовини, присутнього в нервовій, а також в деяких інших тканинах ссавців, що володіє потужним вазопресорних дією; индолилуксусной кислоти - ростового речовини рослин (типу ауксину); вітаміну нікотинової кислоти, необхідної для синтезу ні коти нам ід них коферментів (НАД * і НАДФ+).

Катаболізм триптофану в організмі йде в основному по кінуреніновому шляху (близько 95%) і лише незначною частиною - по серотон і новому, в процесі якого утворюється індолілуксусная кислота, яка виводиться з організму з сечею.

Основні метаболіти, що утворюються в процесі катаболічних перетворень природних амінокислот, наведені нижче:

Слід зазначити, що окислювальний розпад природних амінокислот представляє особливий інтерес у зв'язку з тим, що багато вроджені порушення білкового обміну пов'язані саме з обміном цих амінокислот, наприклад спадкова хвороба фенілкетонурія (Фенилпировиноградная олігофренія). Причиною цього захворювання є втрата здатності організму синтезувати фермент фенілаланін-4-монооксігеназу. каталізують перетворення фенілаланіну в тирозин. Це призводить до накопичення фенілаланіну в тканинах, а отже, і продуктів його трансаминирования фенілпіро- виноградної і фенилуксусной кислот, що надають токсичну дію на організм, і в першу чергу на центральну нервову систему, викликаючи розлад психічної діяльності людини.

Розпад тирозину починається з трансаминирования, що приводить до утворення л-оксіфенілпіровіноградной кислоти. Остання при дії ферменту оксидази л-оксіфенілпіровіноградной кислоти (медьсодержащий білок) каталізує перетворення свого субстрату в гомогентизинової кислоту, причому реакція ця включає в себе декарбоксилирование, окислення, гідроксилювання ароматичного ядра і міграцію бічного ланцюга. Оксілаза гомогентизиновой кислоти - фермент, який потребує іони двовалентного заліза, каталізує утворення з гомогентизиновой кислоти малеілаіе- тоуксусной кислоти. Остання перетворюється в відповідне транссосді- ня - фумарілацетоуксусную кислоту, розщеплення якої призводить до утворення, по-перше, фумарової кислоти, яка піддається подальшим перетворенням за участю ферментів циклу ТКК, і, по-друге, ацето- оцтової кислоти, яка може або увійти також в цикл ТКК (у формі ацетил-КоА), або перетворитися в жирні кислоти.

  1. Планування ендодонтичного лікування і підготовка пацієнта. Протокол ендодонтичного лікування. Знеболення, підготовка до лікування - стоматологія. Ендодонтія
    Мети. Навчитися планувати ендодонтичне лікування і підготувати пацієнта до лікування. Освоїти техніку знеболювання за допомогою викладача. Підготовчий етап включає: обстеження пацієнта і складання плану лікування у відповідності з діагнозом; інформування пацієнта про можливі ускладнення, обумовлених
  2. Післяопераційний догляд за хворими - сестринська справа в хірургії
    Всі зусилля медичного персоналу повинні бути спрямовані на відновлення функцій організму, нормальне загоєння рани, попередження ускладнень і боротьбу з ними. Найближчий післяопераційний період - перші 5 днів. Після великих операцій хворий поступає в відділення реанімації або при відсутності
  3. Підшлункова залоза. Внутрішня секреція - ендокринна і центральна нервова системи, вища нервова діяльність, аналізатори, етологія
    Підшлункова залоза здійснює зовнішню (екзокринну) і внутрішню (ендокринну) секрецію. Клітини, зібрані в складі ацинусів і проток, секретують травні ферменти і виділяють їх в просвіт кишки. Однак в паренхімі органу розташовується особлива тканина, морфологічно оформлена у вигляді острівців
  4. Підлітковий і юнацький періоди - вікова фізіологія і психофізіологія
    В результаті вивчення даного розділу студент повинен: знати специфіку функціонування організму в підлітковий і юнацький періоди розвитку; нейрогуморальні механізми процесу статевого дозрівання; стадії статевого дозрівання і особливості їх протікання; особливості розвитку емоційної сфери підлітка;
  5. Підготовчий етап реанімації, початковий етап реанімації - сестринська справа в хірургії
    необхідно: помістити потерпілого на тверду основу; звільнити груди і живіт від одягу, що стискує; покласти валик під плечовий пояс; закинути голову для поліпшення прохідності верхніх дихальних шляхів (рис. 9.2). При цьому одну руку покласти на лоб, так щоб 1-й і 2-й пальці знаходилися по обидві
  6. Період раннього дитинства, фізичне і моторний розвиток дитини - вікова фізіологія і психофізіологія
    В результаті вивчення даного розділу студент повинен: знати особливості фізичного і моторного розвитку дитини в період раннього дитинства; специфіку структурно-функціональної організація мозку; особливості розвитку сприйняття і пам'яті; основні стадії і характеристики процесу оволодіння мовою;
  7. Периферичний відділ зорової сенсорної системи. Орган зору - анатомія центральної нервової системи
    Периферичних відділом зорового аналізатора є очей, що складається з очного яблука і оточуючих його допоміжних органів (м'язів очних яблук, століття, слізного апарату). Око розташований в очниці черепа. У процесі ембріонального розвитку ока утворюються як випинання бічних стінок проміжного
  8. Периапикальний абсцес без порожнини - стоматологія. Ендодонтія
    Знижений рівень імунного захисту організму пацієнта, несприятливі умови сприяють формуванню периапикального абсцесу без порожнини. В області верхівкового періодонта зуба, що знаходиться в стані хронічного запалення, збільшується ексудація, з'являється набряк м'яких тканин, формується абсцес
© 2014-2022  ibib.ltd.ua