| Головна |
| «« | ЗМІСТ | »» |
|---|
(Від грец. «Oligos» - малий, нечисленний) - з'єднання, молекули яких побудовані з моносахаридів, що з'єднуються ефірними кисло род-Глікозидний зв'язками, причому число залишків моносахаридів в молекулах олігосахаридів не перевищує 10.
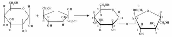
Утворюються в реакції етерифікації з відщепленням води. Наприклад, сахароза утворюється в реакції

Олігосахариди ділять по числу вхідних в них моносахаридів на ди-, три-, тетрасахаріди.
Більшість олигосахаридов, що містять три і більше залишків, зустрічаються не у вільній формі, а у вигляді бічних ланцюгів, приєднаних до поліпептидів, що входять до складу гликопротеинов і протеогліканів, що буде розглянуто трохи нижче.
Якщо молекула олігосахариду побудована із залишків одного і того ж моносахарида, то цей олігосахарид називають гомоолігосахарідом, якщо ж така молекула побудована із залишків різних моносахаридів, - гетероолігосахаріди.
Олігосахариди бувають лінійними, циклічними, розгалуженими, редукуючими і нередуцирующего (в залежності від того, вільна або зайнята карбонильная група в будь-якому залишку моносахарида відповідно). Моносахариди та олігосахариди об'єднують під загальною назвою «цукру».
Найбільш часто зустрічаються дисахариди (Табл. 8.14), що складаються з двох моносахаридних одиниць. мальтоза містить два залишки глюкози, утворюється при частковому гидролитичному розщепленні крохмалю та глікогену - основних резервних (запасних) вуглеводів рослин і тварин.
Мальтоза розщеплюється в шлунково-кишковому тракті до двох залишків глюкози. Деякі люди страждають вродженою непереносимістю мальтози і спорідненої їй ізомальтози через відсутність в кишковому соку ферментів, що розщеплюють ці дисахариди.
Фізіологічно важливі дисахариди
Таблиця 8.14
|
Днсахарнл |
джерело |
клінічне значення |
|
мальтоза |
11родукт распаза крахмаза (при перетравленні амилазой або гідролізі). проростки злаків, солод |
Мри порушення активності амілази порушується енергетичний обмін |
|
лактоза |
Молоко, в період вагітності може міститися в сечі |
При зниженні активності лактази засвоєння лактози порушується, що призводить до діареї і метеоризму |
|
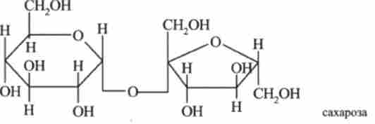
сахароза |
Тростинний і буряковий цукор, сорго, ананаси, морква |
При зниженні активності сахарази. засвоєння сахарози порушується і в зв'язку з цим спостерігаються діарея і метеоризм |
лактоза, менш солодка, ніж звичайний цукор, складається з залишку галактози і залишку глюкози. У великій кількості вона міститься в молоці ссавців. Будучи основним вуглеводом жіночого молока (близько 5,5-8,4%), лактоза служить важливим компонентом їжі немовляти.
При природженому відсутності в кишковому соку ферменту лактази, розщеплює лактозу в кишечнику, розвивається захворювання, яке проявляється дуже рано і супроводжується блювотою, проносом, здуттям живота, зневодненням, поступовим схудненням. Із сечею виводяться значні кількості лактози, а також багато амінокислот. Лікування полягає у виключенні з харчування лактози і заміні її сахарозою, глюкозою та іншими цукрами.
сахароза, що складається із залишків глюкози і фруктози, надзвичайно широко поширена в рослинному світі і є основним харчовим углеводом. У їжу вживається сахароза, що отримується з цукрового буряка і цукрової тростини.
Сахароза гидролитично розпадається на глюкозу і фруктозу і легко перетворюється в тригліцериди (жири), що сприяє утворенню значних жирових відкладень.
Існує захворювання, що полягає в спадковій непереносимості сахарози через відсутність в кишковому соку ферменту сахарози. Воно проявляється у дітей при переході на змішане вигодовування. Розвивається пронос, дитина втрачає в масі. Сахароза не засвоюється організмом хворого, а виводиться через кишечник, в сечі з'являються значні кількості сахарози. Лікування полягає у виключенні з раціону цукру з тростини і буряків або введення з їжею препаратів відсутніх ферментів.