Головна
Cоціологія || Гуманітарні науки || Мистецтво та мистецтвознавство || Історія || Медицина || Науки про Землю || Політологія || Право || Психологія || Навчальний процес || Філософія || Езотерика || Екологія || Економіка || Мови та мовознавство
ГоловнаМедицина → біохімія
««   ЗМІСТ   »»

МЕХАНІЗМ ДІЇ АЛКОГОЛЬДЕГІДРОГЕНАЗИ

Ллкогольлегілрогеназа - цінксодержащіх металлоферментов, що каталізує окислення спиртів до альдегідів або кетонів:

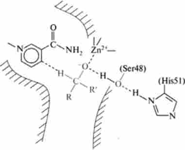
Як коферменту алкогольдегидрогеназа, як і інші дегідрогенази, використовує НАД4". Молекула ферменту, виділеного з печінки коні, являє собою гомодимер з молекулярної масою 40 kDa. Кожна ланцюг має один сайт зв'язування НЛД+ і два сайти зв'язування Zn. Усередині гидрофобного кишені в місці з'єднання каталітичного і зв'язує НАД * знаходиться іон Zn. Координаційне число цинку дорівнює чотирьом (рис. 6.2).

Окислення спиртів обумовлено формуванням потрійного продуктивного комплексу, причому першою стадією реакції є зв'язування коферменту НАД *.

При утворенні фермент-субстратного комплексу відбувається заміщення іонізованим спиртом пов'язаної з цинком молекули води (рис. 6.3).

В результаті ферментативної реакції протон від субстрату переноситься на кофермент і утворюється ацетальдегід. В даній реакції лимитирующей стадією є дисоціація комплексу фермент - НАДН.

Активний центр алкогольдегідрогенази з печінки коні (по Е. Фершту)

Мал. 6.2. Активний центр алкогольдегідрогенази з печінки коні (по Е. Фершту)

Освіта потрійного продуктивного фермі нт-субстратного комплексу при окисленні етилового спирту алкогольдегидрогеназой

Мал. 6.3. Освіта потрійного продуктивного фермі нт-субстратного комплексу при окисленні етилового спирту алкогольдегидрогеназой

  1. Метаболізм вітаміну а - біохімія
    Вітамін А надходить в організм як у вільному, так в естеріфіціро- ванном вигляді. Вільний ретинол сорбується слизової кишечника, а його ефіри спочатку гідролізуються за допомогою ферменту гідролази ефірів карбонових кислот. На внутрішній поверхні ворсинок кишечника відбувається ресинтез ефірів
  2. Метаболізм нуклеотидів і нуклеїнових кислот - біохімія людини
    Метаболізм рибонуклеотидов і дезоксирибонуклеотидов - основа всіх форм життя. Ці біомолекули служать прямими попередниками нуклеїнових кислот РНК і ДНК, а також нуклеотидних коферментів. Мононуклеотиди синтезуються в цитоплазмі. Синтез індивідуальних нуклеїнових кислот є з'єднанням мононуклеотидів
  3. Метаболізм, біохімічні функції, синтез, авітаміноз - біохімія
    Біотин, пов'язаний з білками, за допомогою протеїназ переходить у вільний стан і всмоктується в тонкому кишечнику. При надходженні в кров він знову з'єднується з білками (в основному з альбуміном), потім велика його частина депонується в печінці. Коферментной формою вітаміну Н є А 5 -карбоксібіотін
  4. Мембранний потенціал клітини, або потенціал спокою - нервова система: анатомія, фізіологія, Нейрофармакологія
    збудливість - здатність клітин і тканин переходити в стан фізіологічної активності йод впливом будь-яких зовнішніх впливів (подразників), які досягли порогової величини. Збудливістю мають будь-які живі клітини, в тому числі рослинні, але найбільшою мірою це знаходить свій вираз у клітин тварин
  5. Механізм утворення умовних рефлексів - ендокринна і центральна нервова системи, вища нервова діяльність, аналізатори, етологія
    Умовні рефлекси - це рефлекси, що виробляються протягом індивідуального життя завдяки формуванню тимчасових нервових зв'язків у корі великих півкуль. Існують певні закономірності, дотримання яких необхідно при виробленні того чи іншого умовного рефлексу. Численні дослідження, проведені в лабораторії
  6. Механізм орнітінового циклу, порушення синтезу сечовини - біохімія частина 2.
    Цикл мочевінообразованія відбувається в три етапи, що включають п'ять реакцій, кожна з яких каталізується окремим ферментом: синтез амінокислоти цитруллина (дві реакції); синтез амінокислоти аргініну (дві реакції); освіту сечовини (одна реакція). Сумарну реакцію синтезу сечовини можна представити
  7. Механізм і стадії формування умовного рефлексу - фізіологія вищої нервової діяльності та сенсорних систем
    Існує кілька основних умов успішної вироблення умовного рефлексу: 1. Збіг у часі (поєднання) індиферентного (раніше байдужого) сигналу, який викликає лише слабке збудження в корі, з безумовним підкріпленням. 2. Необхідно багаторазове поєднання індиферентного подразника з підкріпленням. 3
  8. Механізм газообміну - вікова анатомія і фізіологія. Т.2 опорно-рухова і вісцеральні системи
    Людина дихає атмосферним повітрям, який являє собою суміш газів: 79,02% азоту, 20,95% кисню, 0,03% вуглекислого газу і ін. У вдихуваному (альвеолярному) повітрі міститься менше кисню і більше вуглекислого газу, ніж в атмосферному. Це пов'язано з тим, що в момент видиху «шкідливий» простір
© 2014-2022  ibib.ltd.ua