Головна
Cоціологія || Гуманітарні науки || Мистецтво та мистецтвознавство || Історія || Медицина || Науки про Землю || Політологія || Право || Психологія || Навчальний процес || Філософія || Езотерика || Екологія || Економіка || Мови та мовознавство
ГоловнаМедицина → біохімія людини
««   ЗМІСТ   »»

БУФЕРНА ЄМНІСТЬ

Здатність буферних розчинів зберігати сталість pH обмежена. Додавати кислоту і луг, істотно не змінюючи pH буферного розчину, можна лише в обмежених кількостях.

Величину, що характеризує здатність буферного розчину протидіяти зсуву реакції середовища при додаванні сильних кислот або сильних основ, називають буферною ємністю розчину.

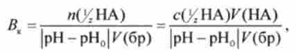
буферна ємність В вимірюється кількістю кислоти або лугу (моль або ммоль еквівалентів), додавання якого до 1 л буферного розчину змінює pH на одиницю.

Математично буферна ємність визначається наступним чином. Буферна ємність по кислоті (моль / л):

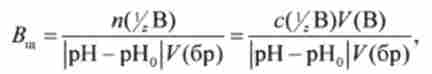
буферна ємність по лугу (моль / л):

де К (НА), ^ (В) - обсяги доданих кислоти НЛ або лугу В відповідно, л; n (/ z НА), n (/ z В) - кількість кислоти або лугу, моль; c (l / z НА), СЦ / z В) - молярні концентрації відповідно кислоти і луги; V (Бр) - обсяг буферного розчину, л; рН0, pH - значення pH буферного розчину до і після додавання кислоти або лугу; | рН-рН01 - різниця pH по модулю.

Буферна ємність, як випливає з її визначення, залежить від ряду факторів.

Залежність буферної ємності В від pH

Мал. 8.5. Залежність буферної ємності В від pH

На рис. 8.5 показаний типовий графік залежності буферної ємності від pH на прикладі ацетатної кислотно-основної системи СН3СОО / СН3СООН. З малюнка видно, що максимальна буферна ємність, т. Е. Найбільша здатність цієї системи протистояти зміні pH, відповідає значенню pH = рКа = 4,76. Це випливає з рівняння Ген- дерсона-Гассельбаха. при pH = рКа відношення з (сіль) / с (кисл) = 1, т. е. в розчині є однакова кількість солі і кислоти. При такому співвідношенні концентрацій pH розчину змінюється в меншому ступені, ніж при інших.

Отже, буферна ємність максимальна при рівних концентраціях компонентів буферної системи і зменшується з відхиленням від цього співвідношення.

Мал. 8.5 демонструє й інший важливий момент. У межах робочої ділянки буферна система протидіє зміні pH при додаванні кислот і лугів. Ця ділянка лежить в інтервалі pH = рКа ± 1 і називається зоною буферного дії. Поза цим інтервалу буферна ємність швидко падає до 0.

Особливо велике значення буферні системи мають в підтримці кислотно-лужної рівноваги організмів. Внутрішньоклітинні і позаклітинні рідини всіх живих організмів, як правило, характеризуються постійним значенням pH, яке підтримується за допомогою різних буферних систем. Значення pH здебільшого внутрішньоклітинних рідин знаходиться в інтервазе від 6,8 до 7,8.

  1. Дихання і його вікові особливості, будова і функції дихальної системи - вікова фізіологія і психофізіологія
    В результаті вивчення даного розділу студент повинен: знати будову і функції дихальної системи; механізм дихальних рухів, основні етапи та показники функції зовнішнього дихання, типи дихання; поняття «життєва ємкість легень» і його характеристики; вікові особливості реалізації функції дихання;
  2. Дихальна система - цитологія, гістологія і ембріологія
    Органи дихання здійснюють газообмін між кров'ю і навколишнім середовищем. Газообмін відбувається в легеневих альвеолах, які представляють собою сліпі закінчення найдрібніших дихальних шляхів, оповитих мережею кровоносних капілярів. Усередині альвеол кисень повітря осмотичним шляхом проникає
  3. Диференційно-діагностичні ознаки пульпіту гострих - стоматологія. Ендодонтія
    Диференціальний діагноз гострого пульпіту проводять з гострим початковим пульпітом, гострим гнійним пульпітом (пульпарного абсцес), гострим апікальним періодонтитом, періапікальних абсцесом без порожнини (свища) і невралгією трійчастого нерва. Загальним симптомом цих хвороб є наявність гострого
  4. Діагностика захворювань прямої кишки - факультетська хірургія
    На сучасному етапі розвитку медицини в діагностиці захворювань прямої кишки, безумовно, велике значення приділяється сучасним клініко-лабораторних та інструментальних методів дослідження. Вони мають на увазі використання новітніх дорогих технічних засобів, які відкривають широкі перспективи
  5. Девітальна пульпотомія і пульпектомія - стоматологія. Ендодонтія
    Девітальной пульпотомія і пульектомія передбачають попередній некроз пульпи зуба, що робить її нечутливою і не кровоточить. Для некрозу використовують миш'яковисті або гтараформаль- дегідную пасту. Препарат, що містить миш'як, вносять в однокореневих зуб на 24 год, в багатокореневих - на 48
  6. Денатурація білків - біохімія
    Під денатурацією розуміють зміна просторової структури білків і, як наслідок, зменшення або повне придушення функціональної активності, розчинності та інших біологічних і фізико-хімічних властивостей. Слід розрізняти денатурацію і деградацію білків. При деградації відбувається фрагментація
  7. Чинники активізації, програмування і регуляції поведінки, вроджені та набуті форми поведінки - вікова фізіологія і психофізіологія
    В організації поведінки людини простежується взаємозв'язок вродженого і набутого, біологічного і соціального. Цей зв'язок найбільш виражена на ранніх етапах онтогенезу, коли переважають біологічні, вроджені детермінанти. З віком, у міру активної взаємодії людини з соціумом, що оточує її культурним
  8. Частки кори., поля кори - вікова анатомія і фізіологія
    Глибокими борознами кора великих півкуль ділиться на чотири основні частини: потиличну, тім'яну, лобову, скроневу, а також острівець (рис. 4.47). Найбільш глибокі борозни - центральна, яка відокремлює лобову частку від те- Мал. 4.47. Великі півкулі головного мозку: а - вид зверху; 6 - бокова
© 2014-2022  ibib.ltd.ua