Головна
Cоціологія || Гуманітарні науки || Мистецтво та мистецтвознавство || Історія || Медицина || Науки про Землю || Політологія || Право || Психологія || Навчальний процес || Філософія || Езотерика || Екологія || Економіка || Мови та мовознавство
ГоловнаМедицина → Біохімія. Частина 2
««   ЗМІСТ   »»

БІОСИНТЕЗ КЕТОНОВИХ ТІЛ

Довгий час в науці існувало уявлення про те, що кетонові тіла є тільки проміжними метаболітами р-окислення жирних кислот. Пізніше прийшли до висновку, що головний шлях їхнього утворення - кетогенез, який протікає в печінці і включає конденсацію двох молекул ацетил-КоА - кінцевих продуктів р-окислення (рис. 23.11).

Всі кетонові тіла утворюються з ацетоацетил-КоА, який синтезується в мітохондріях печінки з двох молекул ацетил-КоА в результаті звернення реакції, що каталізується ацетил-КоА-ацетилтрансферазою (тіолазу):

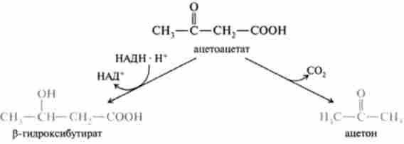
Основний шлях перетворення ацетоацетил-SKoA в печінці полягає в з'єднанні його з ацетил-SKoA, що призводить до утворення р-гідрокси-

Метаболізм кетонових тіл

Мал. 23.11. Метаболізм кетонових тіл: ГМГ-синтетаза - р-гідрокси-р-метилглутарил-КоА-синтетаза; ГМГ-КоА - р-гідрокси-р-метилглутарил-КоА

Р-метилглутарил-SKoA при дії р-гідрокси-р-метилглутарил-КоА-син гази (ГМГ-синтаза):

Зазвичай цей проміжний метаболіт в цитоплазмі печінки витрачається на синтез холестеролу. В мітохондріях печінки р-гідрокси-p-метилглутарил-SKoA розщеплюється на ацетил-SKoA і ацетоуксусную кислоту при дії ферменту p-гідрокси-р-метилглутарил-КоА-ліази (ГМГ-ЛіАЗ):

Ацетоацетат за допомогою р-гідроксібутіратдсгідрогснази відновлюється до p-гидроксибутирата або може неферментативно декарбоксіліро- тися до ацетону:

Крім того, вільна ацетоуксусная кислота може утворюватися при дії ферменту леацілази, який також локалізована в печінці, але активність його вкрай низька:

При голодуванні і діабеті ацетоацетат може в периферичних тканинах використовуватися для генерації енергії. В мітохондріях його активація (освіта ацетоацетил-КоА) відбувається за рахунок перенесення HS-KoA з сукці- Ніл-КоА (проміжний метаболіт ЦТК) на ацетоацетат в реакції каталізується специфічною КоА-трансферазой:

Узагальнена схема шляхів синтезу та утилізації кетонових тіл

Мал. 23.12. Узагальнена схема шляхів синтезу та утилізації кетонових тіл

Утворився ацетоацетил-КоА розщеплюється в тіолазной реакції до двох молекул ацетил-КоА, які потім, як і сукцинат, включаються в цикл три карбонових кислот, забезпечуючи організм енергією.

Узагальнена схема шляхів синтезу та використання кетонових тіл приведена на рис. 23.12.

  1. Будову і функції капілярних судин - фізіологія людини і тварин
    Функції капілярів в системі кровообігу є найважливішими. Саме в них відбувається обмін газами та іншими речовинами між кров'ю і тканинною рідиною. Капіляри мають дуже тонкі стінки, які складаються з ендотеліальних клітин, що лежать на базальній мембрані. М'язові волокна, які могли б міняти
  2. Будову і функції чоловічих статевих залоз. Сперматогенез - фізіологія людини і тварин
    Чоловічими статевими залозами є насінники (Звані також яєчками або гестікуламі). Вони являють собою парні органи, які закладаються і формуються в черевній порожнині, в області малого тазу, а потім, на пізніх стадіях дозрівання плоду опускаються в шкірно-м'язовий мішок - мошонку (рис. 3.1)
  3. Будова вуха. Вестибулярні і слухові рецептори - анатомія центральної нервової системи
    Органом слуху є вухо, в якому виділяють три відділи - зовнішнє вухо, середнє вухо і внутрішнє вухо, в якому власне і знаходяться вестибулярні слухові рецептори (рис. 14.1). Зовнішнє вухо (Рис. 14.1, а) складається з вушної раковини і зовнішнього слухового проходу. Вушна раковина - еластичний
  4. Будова нервової системи, спинний мозок - анатомія центральної нервової системи
    В результаті вивчення даного розділу студент повинен: знати морфологічний і клітинну будову СМ, основні області і зони (роги сірої речовини і канатики білої речовини); основні функції СМ, обумовлені зв'язками з областями ( «поверхами») тіла людини і з ГМ; основні види рефлекторних дуг СМ (моно-
  5. Будова, функції та розвиток залоз внутрішньої секреції, щитовидна залоза - вікова анатомія і фізіологія
    Щитовидна залоза знаходиться в передній області шиї над щитовидним хрящем гортані, складається з двох частин, з'єднаних перешийком (рис. 3.4), і має дольчатое будова. Кожна часточка утворена мікроскопічними бульбашками - фолікулами з одношарової стінкою, наповненими колоїдів. У клітинах фолікулів
  6. Больові рецептори шкіри - ендокринна і центральна нервова системи, вища нервова діяльність, аналізатори, етологія
    У тварин і людини сильні механічні або інші дії викликають відчуття болю. Встановлено, що в шкірі зверхінтенсивний стимули сприймають спеціальні больові рецептори, які, як і терморецептори, утворені тонкими міелінізірованние і неміелінізірованнимі нервовими волокнами діаметром 0,3 ... 5 мкм
  7. Біосинтез вуглеводів з двовуглеродних з'єднань (ацетил-коа) - біохімія
    Біосинтез глюкози з ацетил-КоА відбувається у вищих рослин і мікроорганізмів, що вирощуються на середовищі, в якій єдиним джерелом вуглецю служить етанол або ацетат. Перетворення здійснюється за допомогою реакцій так званого глиоксилатного циклу (рис. 20.4). У тваринних клітинах відсутні два
  8. Біосинтез нуклеотидів - біохімія частина 2.
    Майже всі організми здатні синтезувати піримідинові і пуринові нуклеотиди dc novo з простих сполук. Першим продуктом нуклеотидной природи пуринового шляху є і11озі11-5-монофосфат (ІМФ), що перетворюється потім в усі інші пуринові нуклеотиди. Структурним попередником всіх піримідинових нуклеотидів
© 2014-2022  ibib.ltd.ua