| Головна |
| «« | ЗМІСТ | »» |
|---|
Нуклеотиди грають в основному роль елементарних одиниць в біохімії спадковості. Нуклеотиди кодують нуклеїнові кислоти, служать для зберігання і передачі інформації від батьків до нащадків. Крім цього нуклеотиди виконують і інші функції.
Моно-, ди-і тріфосфатнуклеозіди як продуктів обміну між нуклеїновими кислотами контролюють біоенергетику клітини і регулюють швидкість метаболічних процесів. Порушення нуклеотидного обміну в організмі людини призводять до різних патологій.
Особливо істотно вплив утворилися в результаті метаболічного розпаду нуклеотидів вільних пуринових і піримідинових основ. Значна їх частина не піддається подальшому розпаду, а реутілізіруется (використовується знову для синтезу пуринових нуклеотидів). Але метаболічний шлях в цьому випадку простіше, коротше і енергетично вигідніше розглянутого вище.
Біосинтез нуклеотидів з готових продуктів складається з однієї лише реакції. В ході цієї реакції вільний аденін взаємодіє з 5-фосфоребозіл-1 пирофосфатом (PRPP). В результаті утворюється адениновую нуклеотид. Вільний гуанін реутілізіруется тим же шляхом, але за участю іншого ферменту - ги поксанті н гуан і нфосфорібозі лтрансферази:

У дітей зустрічаються генетичні відхилення, пов'язані з відсутністю цього ферменту. Така недостатність (синдром Леша-Нихана) буває тільки у хлопчиків. Синдром зазвичай проявляється у віці близько двох років у вигляді комплексу таких симптомів, як розумова відсталість, порушення координації рухів, агресивність по відношенню до самих себе. При цій патології відсутній синтез нуклеотидів з вільних складових, але синтез по розглянутому шляху йде нормально.
Ускладнення виникають не через нестачу пуринових нуклеотидів, а, навпаки, через їх надлишкового синтезу. На даному етапі розвитку медицини роблять пункцію - витяг проби тканини для вивчення окремо взятих клітин цих хворих і встановлення точного діагнозу, щоб визначити режим харчування.
Надлишок пуринових нуклеотидів призводить до надмірного утворення і накопичення сечової кислоти і PRPP. Наприклад, через підвищений вміст сечової кислоти в сироватці крові та в тканинах розвивається (переважно у чоловіків) запальна хвороба суглобів - подагра. Передбачається, що її причиною може бути спадкова недостатність будь-якого з ферментів, які беруть участь в обміні пуринів.
В курс лікування подагри входить виключення з раціону продуктів, що містять у великих кількостях нуклеотиди і нуклеїнові кислоти. До них, зокрема, відносяться чай і каву, в яких містяться пурини кофеїн і теобромін.
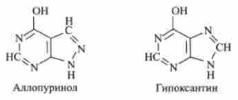
Один із шляхів лікування подагри - застосування алопуринолу. Алопуринол має однаковий елементний склад з Гіпоксантин (субстратом ксантіноксі- дази), але відрізняється формулою будови:

Таким чином, він є інгібітором ксантиноксидази, відповідальної за синтез сечової кислоти з пуринів, і застосовується в якості лікарського засобу.
Імовірно стадію, на якій відбувається порушення шляху розпаду пуринових нуклеотидів, що призводить до розвитку подагри, можна зобразити так, як показано на рис. 9.32.


Мал. 9.32. Окислення ксантину в сечову кислоту
Деяка частина вільних складових для синтезу нуклеотидів потрапляє в організм людини з їжею. Так, отримані з їжею нуклсопротеіни розпадаються спочатку на поліпептиди і нуклеїнові кислоти. Потім відбувається повний гідроліз нуклеїнових кислот до мононуклеотидів. Стосовно них подальшої долі існує два припущення. Відповідно до першого, вони під дією неспецифічних фосфатаз у кишечнику розкладаються до нуклеозидів і фосфорної кислоти і в такому вигляді всмоктуються. Згідно з другим припущенням мононуклеотиди всмоктуються і розпад їх здійснюється вже всередині клітин слизової оболонки переважно фосфорілітічним шляхом.
Всмоктуються в основному нуклеозиди, і в такому вигляді частина азотистих основ може бути використана для синтезу нуклеотидів. Якщо ж розпад відбувається до вільних пуринових і піримідинових основ, то в цьому випадку гуанін не використовується для синтетичних цілей.